描述
text
| 流体性质 | 运动粘度 | ν | 1.500e-5 | m2/s |
| 密度 | ρ | 1.250 | kg/m3 | |
| 风洞 | 长度 | Dx | 2720.000 | m |
| 宽度 | Dy | 900.000 | m | |
| 高度 | Dz | 720.000 | m | |
| 建筑物 | 宽度 | B | 80.000 | m |
| 深度 | D | 40.000 | m | |
| 高度 | H | 200.000 | m | |
| 计算参数 | 参考速度 | uref | 22.000 | m/s |
| 参考高度 | zref | 10.000 | m | |
| 冯·卡门常数 | κ | 0.410 | ||
| 湍流粘度常数 | Cμ | 0.090 | ||
| 空气动力学表面粗糙度长度 | z0 | 1.000 | m |
分析解
分析解不可用。本示例提供了RWIND CFD模拟结果与实验数据(TPU空气动力学数据库)的比较。
风速剖面根据以下公式由幂律计算:
其中剖面指数α定义为
湍流强度根据以下图示中α=0.25从TPU空气动力学数据库中获取。
RWIND模拟设置
- 在RWIND 3.04中建模
- 瞬态流动模拟类型
- 网格密度为20%,细化:5 698 702个单元
- RANS k-ω SST湍流模型
- 入口边界条件 - ABL v, k, ω; 零压力梯度
- 隧道底部 - 无滑移边界条件,使用墙面约束湍流粘度的墙面函数(沙粒粗糙度) - OpenFOAM中的nutkRoughWallFunction
- 隧道墙壁及顶部 - 滑移边界条件
- 出口边界条件 - 零压力;零速度梯度
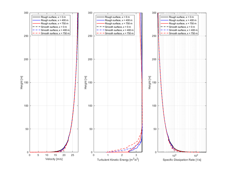
结果
以下图示显示了在粗糙和光滑表面上空气流动行为的比较(速度的变化、湍流动能和湍流耗散率的发展)。