Описание
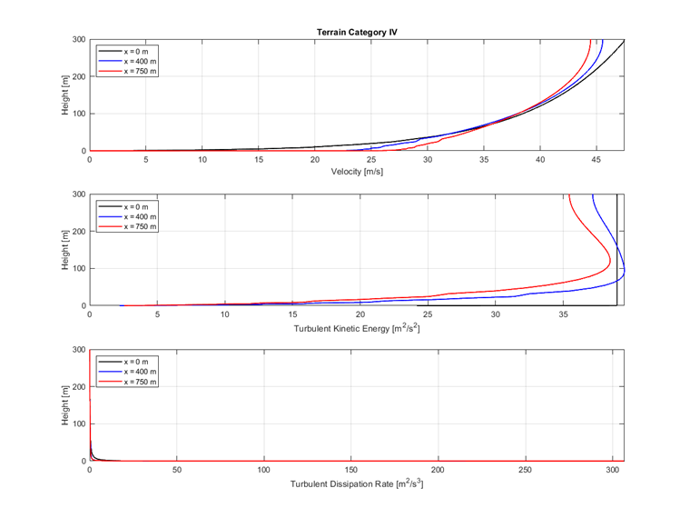
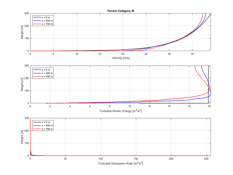
Этот пример основывается на тесте атмосферного пограничного слоя (ABL) из документа немецкого WTG: информационный бюллетень Комитета 3 - Численное моделирование потоков ветра, глава 9.1 (см. ссылки). Перед каждой численной симуляцией следует проверить, достигает ли определенный на входе атмосферный пограничный слой конструкции, протестировав его развитие в пустом туннеле. Это касается не только распределения скоростей, но и турбулентных величин. Тест должен быть проведен как для стационарных (RANS), так и для нестационарных (URANS, LES) расчетов. В следующей статье показано развитие поля скорости, поля кинетической энергии турбулентности и поля скорости диссипации турбулентности для четырех категорий местности I-IV, определенных в EN 1991-1-4. Применяется вертикально анизотропная турбулентность в соответствии с главой 6.3.1 и модель турбулентности RANS k-ω SST.
| Свойства жидкости | Кинематическая вязкость | ν | 1.500e-5 | м2/с |
| Плотность | ρ | 1.250 | кг/м3 | |
| Ветровой туннель | Длина | Dx | 800.000 | м |
| Ширина | Dy | 80.000 | м | |
| Высота | Dz | 300.000 | м | |
| Параметры расчета | Скорость на высоте отсчета | uref | 20.000 | м/с |
| Высота отсчета | zref | 10.000 | м | |
| Константа фон Кармана | κ | 0.410 | ||
| Константа вязкости турбулентности | Cμ | 0.090 |
Аналитическое решение
Аналитическое решение недоступно. Пример предоставляет обзор развития выбранного поля величин в пустом ветровом туннеле.
Профиль скорости ветра вычисляется по следующему уравнению:
где u* - скорость трения, определяемая как:
Профиль турбулентности k определяется по следующему уравнению:
Профиль турбулентности ω вычисляется по следующему уравнению:
Настройки симуляции RWIND
- Смоделировано в RWIND 3.03.0220
- Тип симуляции стационарного потока
- Плотность сетки составляет 28%: 2,482,465 ячеек
- Число пограничных слоев туннеля составляет 10
- Высота первой ячейки внизу составляет 0.046 м
- y+ варьируется от 800 до 1,000
- Модель турбулентности RANS k-ω SST
- Граничное условие на входе - ABL v, k, ω нулевой градиент давления
- Дно туннеля - граничное условие без проскальзывания
- Стены и верх туннеля - граничное условие проскальзывания
- Граничное условие на выходе - нулевое давление; нулевой градиент скорости
Результаты
Метрика валидации рассчитывается в соответствии с WTG: информационный бюллетень Комитета 3 - Численное моделирование потоков ветра, глава 5.3.2 (см. ссылки). Сначала рассчитывается значение параметра частоты попадания q для среднего значения коэффициента давления. Рассматривается относительное отклонение Wrel.
|
N |
Total number of data points |
|
ni |
Indicator function (1 if prediction is “correct”, 0 otherwise) |
|
Pi |
Predicted value |
|
Oi |
Reference value |
|
Wrel |
Allowed relative deviation |
В качестве альтернативы можно также рассчитать относительную среднеквадратичную ошибку e2 согласно следующей формуле.
Желаемое значение параметра частоты попадания q составляет более 90%, а относительная среднеквадратичная ошибка должна быть ниже 0.01. Из следующей таблицы ясно, что сравнение входной скорости и скорости в туннеле (x = 0 м) соответствует требованиям.
| Категория местности | q [%] для Wrel = 10% | e2 [1] |
| TC I | 93.2 | 0.0007 |
| TC II | 93.2 | 0.0001 |
| TC III | 97.7 | 0.00001 |
| TC IV | 100.0 | 0.00001 |
Следующие графики показывают развитие скорости, кинетической энергии турбулентности и специфической скорости диссипации в пустом ветровом туннеле.
Категория местности I
Категория местности II
Категория местности III
Категория местности IV