Descrição
Este exemplo é baseado no teste de Camada Limite Atmosférica (ABL) do documento da WTG Alemã: Fact Sheet do Comitê 3 - Simulação Numérica de Fluxos de Vento, Capítulo 9.1 (ver referências). Antes de cada simulação numérica, deve-se verificar se a camada limite atmosférica definida na entrada alcança a estrutura testando seu desenvolvimento em um túnel vazio. Isso afeta não apenas a distribuição das velocidades, mas também as quantidades turbulentas. O teste deve ser realizado tanto para cálculos estacionários (RANS) quanto transitórios (URANS, LES). No artigo a seguir, o desenvolvimento de um campo de velocidade, campo de energia cinética turbulenta e campo de taxa de dissipação de turbulência é mostrado para as quatro categorias de terreno de I a IV definidas na EN 1991-1-4. É utilizada uma turbulência an isotrópica vertical de acordo com o Capítulo 6.3.1 e o modelo de turbulência RANS k-ω SST.
| Propriedades do Fluido | Viscosidade Cinemática | ν | 1.500e-5 | m2/s |
| Densidade | ρ | 1.250 | kg/m3 | |
| Túnel de Vento | Comprimento | Dx | 800.000 | m |
| Largura | Dy | 80.000 | m | |
| Altura | Dz | 300.000 | m | |
| Parâmetros de Cálculo | Velocidade de Referência | uref | 20.000 | m/s |
| Altura de Referência | zref | 10.000 | m | |
| Constante de von Kármán | κ | 0.410 | ||
| Constante de Viscosidade de Turbulência | Cμ | 0.090 |
Solução Analítica
Não há solução analítica disponível. O exemplo fornece uma visão geral do desenvolvimento dos campos de quantidade escolhidos em um túnel de vento vazio.
O perfil de velocidade do vento é calculado a partir da seguinte equação:
onde u* é a velocidade de fricção, definida como:
O perfil de turbulência k é definido de acordo com a seguinte equação:
O perfil de turbulência ω é definido e calculado de acordo com a seguinte equação:
Configurações de Simulação RWIND
- Modelado no RWIND 3.03.0220
- Tipo de simulação de fluxo estacionário
- Densidade da malha é 28%: 2,482,465 células
- Número de camadas de fronteira do túnel é 10
- A altura da primeira célula na parte inferior é 0.046 m
- y+ varia de 800 a 1,000
- Modelo de turbulência RANS k-ω SST
- Condição de limite de entrada - ABL v, k, ω gradiente de pressão zero
- Parte inferior do túnel - condição de limite sem deslizamento
- Paredes e topo do túnel - condição de limite deslizante
- Condição de limite de saída - pressão zero; gradiente de velocidade zero
Resultados
A métrica de validação é calculada de acordo com WTG: Fact Sheet do Comitê 3 - Simulação Numérica de Fluxos de Vento, Capítulo 5.3.2 (ver referências). Primeiramente, é calculado o valor do parâmetro de taxa de acerto q para o valor médio do coeficiente de pressão. A desvio relativa Wrel é considerada.
|
N |
Total number of data points |
|
ni |
Indicator function (1 if prediction is “correct”, 0 otherwise) |
|
Pi |
Predicted value |
|
Oi |
Reference value |
|
Wrel |
Allowed relative deviation |
Alternativamente, o erro quadrático médio relativo e2 também pode ser calculado de acordo com a fórmula seguinte.
Os valores desejados do parâmetro de taxa de acerto q são mais de 90% e o erro quadrático médio relativo deve ser inferior a 0.01. Na tabela a seguir, é claro que a comparação da velocidade de entrada e a velocidade no túnel (x = 0 m) atende aos requisitos.
| Categoria de terreno | q [%] para Wrel = 10% | e2 [1] |
| CT I | 93.2 | 0.0007 |
| CT II | 93.2 | 0.0001 |
| CT III | 97.7 | 0.00001 |
| CT IV | 100.0 | 0.00001 |
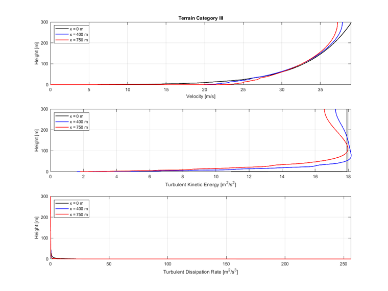
Os gráficos a seguir apresentam o desenvolvimento da velocidade, energia cinética turbulenta e taxa de dissipação específica em um túnel de vento vazio.
Categoria de terreno I
Categoria de terreno II
Categoria de terreno III
Categoria de terreno IV