Descripción
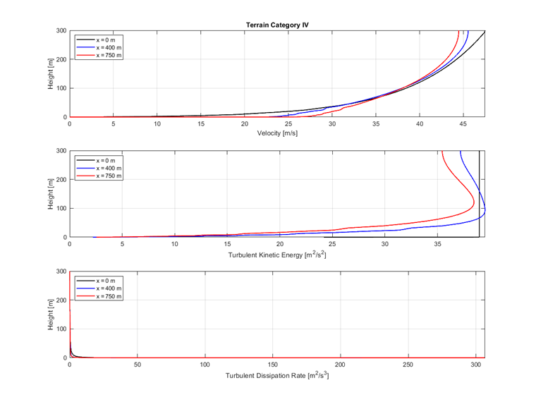
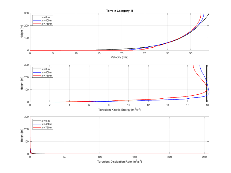
Este ejemplo se basa en la prueba de la Capa Límite Atmosférica (ABL) del documento del WTG alemán: Hoja de Datos del Comité 3 - Simulación Numérica de Flujos de Viento, Capítulo 9.1 (ver referencias). Antes de cada simulación numérica, se debe verificar si la capa límite atmosférica definida en la entrada llega a la estructura probando su desarrollo en un túnel vacío. Esto afecta no solo la distribución de las velocidades, sino también las cantidades turbulentas. La prueba debe realizarse tanto para cálculos estacionarios (RANS) como transitorios (URANS, LES). En el siguiente artículo, se muestra el desarrollo de un campo de velocidad, un campo de energía cinética de turbulencia y un campo de tasa de disipación de turbulencia para las cuatro categorías de terreno I a IV definidas en la EN 1991-1-4. Se utiliza una turbulencia verticalmente anisotrópica de acuerdo al Capítulo 6.3.1 y el modelo de turbulencia RANS k-ω SST.
| Propiedades del Fluido | Viscosidad Cinética | ν | 1.500e-5 | m2/s |
| Densidad | ρ | 1.250 | kg/m3 | |
| Túnel de Viento | Longitud | Dx | 800.000 | m |
| Ancho | Dy | 80.000 | m | |
| Altura | Dz | 300.000 | m | |
| Parámetros de Cálculo | Velocidad de Referencia | uref | 20.000 | m/s |
| Altura de Referencia | zref | 10.000 | m | |
| Constante de von Kármán | κ | 0.410 | ||
| Constante de Viscosidad de Turbulencia | Cμ | 0.090 |
Solución Analítica
No se dispone de una solución analítica. El ejemplo proporciona una visión general del desarrollo del campo de cantidad elegido en un túnel de viento vacío.
El perfil de velocidad del viento se calcula a partir de la siguiente ecuación:
donde u* es la velocidad de fricción, definida como:
El perfil de turbulencia k se define según la siguiente ecuación:
El perfil de turbulencia ω se calcula según la siguiente ecuación:
Configuraciones de Simulación de RWIND
- Modelado en RWIND 3.03.0220
- Tipo de simulación de flujo estacionario
- Densidad de malla es 28%: 2,482,465 celdas
- Número de capas límite del túnel es 10
- La altura de la primera celda en el fondo es 0.046 m
- y+ varía de 800 a 1,000
- Modelo de turbulencia RANS k-ω SST
- Condición de límite de entrada - ABL v, k, ω gradiente de presión cero
- Fondo del túnel - condición de límite sin deslizamiento
- Paredes y parte superior del túnel - condición de límite de deslizamiento
- Condición de límite de salida - presión cero; gradiente de velocidad cero
Resultados
La métrica de validación se calcula según WTG: Hoja de Datos del Comité 3 - Simulación Numérica de Flujos de Viento, Capítulo 5.3.2 (ver referencias). Primero, se calcula el valor del parámetro de tasa de acierto q para el valor medio del coeficiente de presión. Se considera la desviación relativa Wrel.
|
N |
Total number of data points |
|
ni |
Indicator function (1 if prediction is “correct”, 0 otherwise) |
|
Pi |
Predicted value |
|
Oi |
Reference value |
|
Wrel |
Allowed relative deviation |
Alternativamente, el error cuadrático medio relativo e2 también puede calcularse según la siguiente fórmula.
Los valores deseados del parámetro de tasa de acierto q son superiores al 90% y el error cuadrático medio relativo debe ser inferior a 0.01. A partir de la siguiente tabla, está claro que la comparación de la velocidad de entrada y la velocidad en el túnel (x = 0 m) cumple con los requisitos.
| Categoría de Terreno | q [%] para Wrel = 10% | e2 [1] |
| TC I | 93.2 | 0.0007 |
| TC II | 93.2 | 0.0001 |
| TC III | 97.7 | 0.00001 |
| TC IV | 100.0 | 0.00001 |
Los siguientes gráficos presentan el desarrollo de la velocidad, energía cinética de turbulencia y tasa de disipación específica en un túnel de viento vacío.
Categoría de terreno I
Categoría de terreno II
Categoría de terreno III
Categoría de terreno IV