Beschreibung
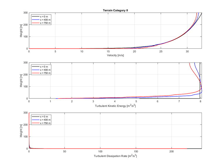
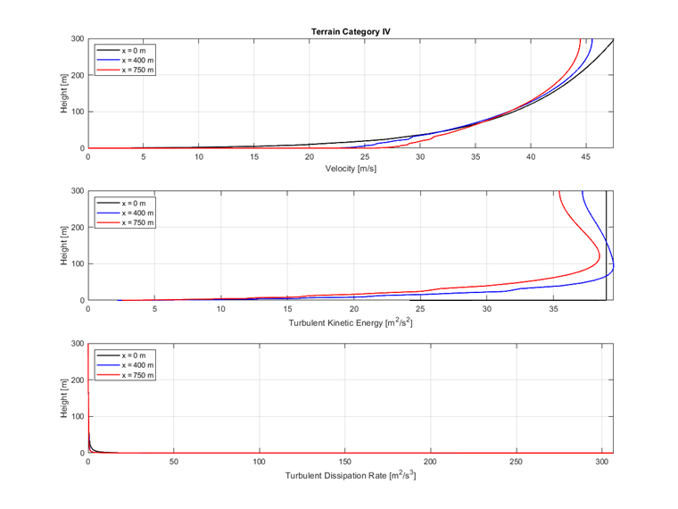
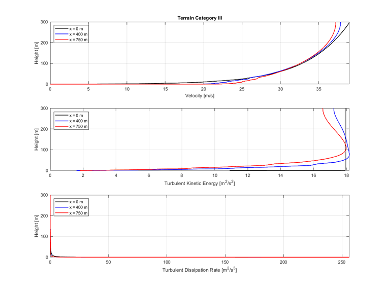
Dieses Beispiel basiert auf dem Test der atmosphärischen Grenzschicht (ABL) aus dem Dokument der deutschen WTG: Informationsblatt von Ausschuss 3 - Numerische Simulation von Windströmungen, Kapitel 9.1 (siehe Referenzen). Vor jeder numerischen Simulation sollte überprüft werden, ob die am Einlass definierte atmosphärische Grenzschicht die Struktur erreicht, indem ihre Entwicklung in einem leeren Tunnel getestet wird. Dies betrifft nicht nur die Verteilung der Geschwindigkeiten, sondern auch die turbulenten Größen. Der Test muss sowohl für stationäre (RANS) als auch für instationäre (URANS, LES) Berechnungen durchgeführt werden. Im folgenden Artikel wird die Entwicklung eines Geschwindigkeitsfeldes, eines turbulenten kinetischen Energiefeldes sowie eines Turbulenz-Dissipationsratenfeldes für die vier Geländekategorien I bis IV gemäß EN 1991-1-4 dargestellt. Dabei wird eine vertikal anisotrope Turbulenz gemäß Kapitel 6.3.1 und das RANS k-ω SST Turbulenzmodell wird verwendet.
| Flüssigkeitseigenschaften | Kinematische Viskosität | ν | 1.500e-5 | m2/s |
| Dichte | ρ | 1.250 | kg/m3 | |
| Windkanal | Länge | Dx | 800.000 | m |
| Breite | Dy | 80.000 | m | |
| Höhe | Dz | 300.000 | m | |
| Berechnungsparameter | Referenzgeschwindigkeit | uref | 20.000 | m/s |
| Referenzhöhe | zref | 10.000 | m | |
| von Kármán-Konstante | κ | 0.410 | ||
| Turbulenzviskosität-Konstante | Cμ | 0.090 |
Analytische Lösung
Eine analytische Lösung ist nicht verfügbar. Das Beispiel gibt einen Überblick über die Entwicklung des gewählten Größenfeldes in einem leeren Windkanal.
Das Windgeschwindigkeit-Profil wird aus der folgenden Gleichung berechnet:
wobei u* die Reibungsgeschwindigkeit ist, definiert als:
Das Turbulenz-k-Profil wird nach folgender Gleichung definiert:
Das Turbulenz-omega-Profil wird gemäß der folgenden Gleichung berechnet:
Einstellungen von RWIND Simulations
- Modelliert in RWIND 3.03.0220
- Simulationstyp - stationäre Strömung
- Netzdichte beträgt 28%: 2.482.465 Zellen
- Die Anzahl der Grenzschichten im Kanal ist 10
- Die Höhe der ersten Zelle am Boden beträgt 0,046 m
- y+ liegt zwischen 800 und 1.000
- RANS k-ω SST Turbulenzmodell
- Einströmungsrandbedingung - ABL v, k, ω Druckgradient gleich zu Null
- Kanalboden - No-Slip-Randbedingung
- Kanalwände und -dach - Slip-Randbedingung
- Auslass-Randbedingung - kein Druck; Geschwindigkeitsgradient gleich zu Null
Ergebnisse
Die Validierungsmetrik wird gemäß WTG: Informationsblatt des Ausschusses 3 - Numerische Simulation von Windströmungen, Kapitel 5.3.2 (siehe Referenzen) berechnet. Zunächst wird der Wert des Trefferquotenparameters q für den Mittelwert des Druckkoeffizienten berechnet. Die relative Abweichung Wrel wird berücksichtigt.
|
N |
Total number of data points |
|
ni |
Indicator function (1 if prediction is “correct”, 0 otherwise) |
|
Pi |
Predicted value |
|
Oi |
Reference value |
|
Wrel |
Allowed relative deviation |
Alternativ kann der relative mittlere quadratische Fehler e2 auch gemäß der folgenden Formel berechnet werden.
Die gewünschten Werte des Trefferquotenparameters q liegen über 90% und der relative mittlere quadratische Fehler sollte niedriger als 0,01 sein. Aus der folgenden Tabelle geht hervor, dass der Vergleich der Eingabegeschwindigkeit und der Geschwindigkeit im Tunnel (x = 0 m) die Anforderungen erfüllt.
| Geländekategorie | q [%] für Wrel = 10% | e2 [1] |
| TC I | 93.2 | 0.0007 |
| TC II | 93.2 | 0.0001 |
| TC III | 97.7 | 0.00001 |
| TC IV | 100.0 | 0.00001 |
Die folgenden Grafiken zeigen die Entwicklung der Geschwindigkeit, der turbulenten kinetischen Energie und der spezifischen Dissipationsrate in einem leeren Windkanal.
Geländekategorie I
Geländekategorie II
Geländekategorie III
Geländekategorie IV