Opis
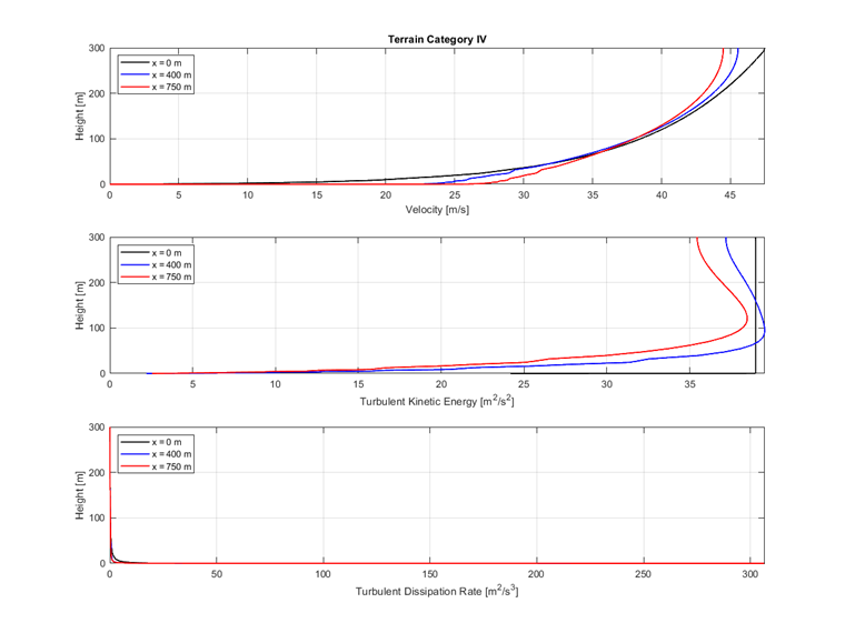
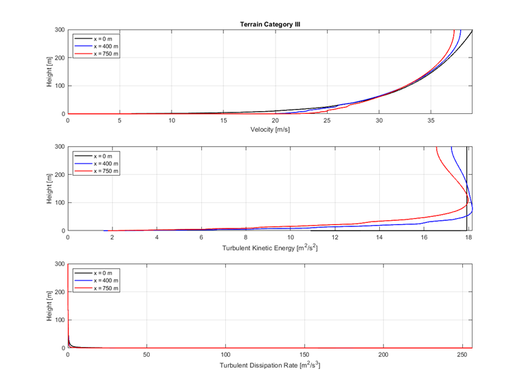
Ten przykład opiera się na teście Warstwy Brzegowej Atmosferycznej (ABL) z dokumentu niemieckiej WTG: Arkusz informacyjny Komitetu 3 - Symulacja numeryczna przepływów wiatru, Rozdział 9.1 (zobacz odniesienia). Przed każdą symulacją numeryczną należy sprawdzić, czy warstwa brzegowa atmosferyczna, zdefiniowana na wlocie, osiąga konstrukcję poprzez testowanie jej rozwoju w pustym tunelu. Wpływa to nie tylko na rozkład prędkości, ale także na wielkości turbulentne. Test należy przeprowadzić zarówno dla obliczeń stacjonarnych (RANS), jak i przejściowych (URANS, LES). W poniższym artykule przedstawiono rozwój pola prędkości, pola energii kinetycznej turbulencji i pola współczynnika rozpraszania turbulencji dla czterech kategorii terenu I do IV zdefiniowanych w EN 1991-1-4. Użyto pionowo anizotropowej turbulencji zgodnie z Rozdziałem 6.3.1 oraz modelu turbulencji RANS k-ω SST.
| Właściwości płynu | Lepkość kinematyczna | ν | 1.500e-5 | m2/s |
| Gęstość | ρ | 1.250 | kg/m3 | |
| Tunel wiatrowy | Długość | Dx | 800.000 | m |
| Szerokość | Dy | 80.000 | m | |
| Wysokość | Dz | 300.000 | m | |
| Parametry obliczeniowe | Prędkość referencyjna | uref | 20.000 | m/s |
| Referencyjna wysokość | zref | 10.000 | m | |
| Stała von Kármána | κ | 0.410 | ||
| Stała lepkości turbulentnej | Cμ | 0.090 |
Rozwiązanie analityczne
Rozwiązanie analityczne nie jest dostępne. Przykład dostarcza przegląd rozwoju wybranego pola ilości w pustym tunelu wiatrowym.
Profil prędkości wiatru obliczany jest z następującego równania:
gdzie u* jest prędkością tarcia, zdefiniowaną jako:
Profil turbulence k jest zdefiniowany zgodnie z następującym równaniem:
Profil turbulence ω jest obliczany zgodnie z następującym równaniem:
Ustawienia symulacji RWIND
- Modelowany w RWIND 3.03.0220
- Typ symulacji przepływu stacjonarnego
- Gęstość siatki wynosi 28%: 2,482,465 komórek
- Liczba warstw brzegowych tunelu wynosi 10
- Wysokość pierwszej komórki na dnie wynosi 0.046 m
- y+ w zakresie od 800 do 1,000
- Model turbulencji RANS k-ω SST
- Warunek brzegowy na wlocie - ABL v, k, ω zerowy gradient ciśnienia
- Dno tunelu - warunek brzegowy bezślizgowy
- Ściany tunelu i górna - warunek brzegowy oślizgowy
- Warunek brzegowy na wylocie - zerowe ciśnienie; zerowy gradient prędkości
Wyniki
Metryka walidacyjna jest obliczana zgodnie z WTG: Arkusz informacyjny Komitetu 3 - Symulacja numeryczna przepływów wiatru, Rozdział 5.3.2 (zobacz odniesienia). Na początku obliczana jest wartość parametru wskaźnika trafień q dla wartości średniej współczynnika ciśnienia. Rozważane jest względne odchylenie Wrel.
|
N |
Total number of data points |
|
ni |
Indicator function (1 if prediction is “correct”, 0 otherwise) |
|
Pi |
Predicted value |
|
Oi |
Reference value |
|
Wrel |
Allowed relative deviation |
Alternatywnie względny średni błąd kwadratowy e2 może być również obliczany według następującego wzoru.
Pożądane wartości parametru wskaźnika trafień q to więcej niż 90%, a względny średni błąd kwadratowy powinien być niższy niż 0.01. Z poniższej tabeli wynika, że porównanie prędkości wejściowej i prędkości w tunelu (x = 0 m) spełnia wymagania.
| Kategoria terenu | q [%] dla Wrel = 10% | e2 [1] |
| TC I | 93.2 | 0.0007 |
| TC II | 93.2 | 0.0001 |
| TC III | 97.7 | 0.00001 |
| TC IV | 100.0 | 0.00001 |
Poniższe wykresy przedstawiają rozwój prędkości, turbulentnej energii kinetycznej i współczynnika specyficznego rozpraszania w pustym tunelu wiatrowym.
Kategoria terenu I
Kategoria terenu II
Kategoria terenu III
Kategoria terenu IV