Descrizione
Questo esempio si basa sul test dello strato limite atmosferico (SLA) dal documento del WTG tedesco: Scheda informativa del Comitato 3 - Simulazione numerica dei flussi di vento, Capitolo 9.1 (vedi riferimenti). Prima di ogni simulazione numerica, si dovrebbe verificare se lo strato limite atmosferico definito all'ingresso raggiunge la struttura testandone lo sviluppo in un tunnel vuoto. Ciò influenza non solo la distribuzione delle velocità, ma anche le quantità turbolente. Il test deve essere eseguito sia per calcoli stazionari (RANS) sia per calcoli transitori (URANS, LES). Nell'articolo seguente, viene mostrato lo sviluppo di un campo di velocità, di energia cinetica turbolenta e del tasso di dissipazione della turbolenza per le quattro categorie di terreno I a IV definite nell'EN 1991-1-4. Si utilizza una turbolenza verticalmente anisotropica secondi Capitol 6.3.1 e il modello turbolento RANS k-ω SST.
| Proprietà del fluido | Viscosità cinematica | ν | 1.500e-5 | m2/s |
| Densità | ρ | 1.250 | kg/m3 | |
| Galleria del vento | Lunghezza | Dx | 800.000 | m |
| Larghezza | Dy | 80.000 | m | |
| Altezza | Dz | 300.000 | m | |
| Parametri di calcolo | Velocità di riferimento | uref | 20.000 | m/s |
| Altezza di riferimento | zref | 10.000 | m | |
| Costante di von Kármán | κ | 0.410 | ||
| Costante di viscosità della turbolenza | Cμ | 0.090 |
Soluzione analitica
Non è disponibile una soluzione analitica. L'esempio fornisce una panoramica dello sviluppo del campo quantità scelto in una galleria del vento vuota.
Il profilo di velocità del vento è calcolato dalla seguente equazione:
dove u* è la velocità di attrito, definita come:
Il profilo di turbolenza k è definito secondo la seguente equazione:
Il profilo di turbolenza ω è calcolato secondo la seguente equazione:
Impostazioni di simulazione RWIND
- Modellato in RWIND 3.03.0220
- Tipo di simulazione di flusso stazionario
- Densità della mesh è 28%: 2.482.465 celle
- Numero di strati limite del tunnel è 10
- L'altezza della prima cella in basso è 0.046 m
- y+ varia da 800 a 1.000
- Modello di turbolenza RANS k-ω SST
- Condizione al contorno in ingresso - ABL v, k, ω gradiente di pressione zero
- Fondale del tunnel - condizione al contorno senza slittamento
- Pareti e parte superiore del tunnel - condizione al contorno con slittamento
- Condizione al contorno in uscita - pressione zero; gradiente di velocità zero
Risultati
La metrica di validazione è calcolata secondo WTG: Scheda informativa del Comitato 3 - Simulazione numerica dei flussi di vento, Capitolo 5.3.2 (vedi riferimenti). Innanzitutto, viene calcolato il valore del parametro tasso di successo q per il valore medio del coefficiente di pressione. Si considera la deviazione relativa Wrel.
|
N |
Total number of data points |
|
ni |
Indicator function (1 if prediction is “correct”, 0 otherwise) |
|
Pi |
Predicted value |
|
Oi |
Reference value |
|
Wrel |
Allowed relative deviation |
In alternativa, l'errore quadratico medio relativo e2 può essere calcolato anche secondo la seguente formula.
I valori desiderati del parametro tasso di successo q sono superiori al 90% e l'errore quadratico medio relativo dovrebbe essere inferiore a 0.01. Dalla tabella seguente, è chiaro che il confronto tra la velocità di ingresso e la velocità nel tunnel (x = 0 m) soddisfa i requisiti.
| Categoria di terreno | q [%] per Wrel = 10% | e2 [1] |
| CT I | 93.2 | 0.0007 |
| CT II | 93.2 | 0.0001 |
| CT III | 97.7 | 0.00001 |
| CT IV | 100.0 | 0.00001 |
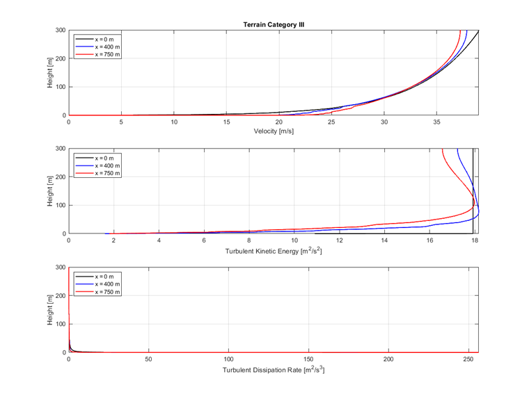
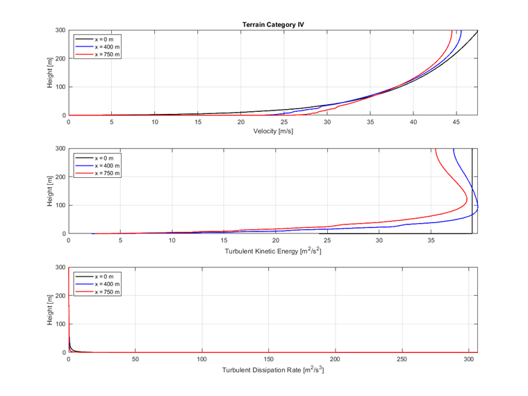
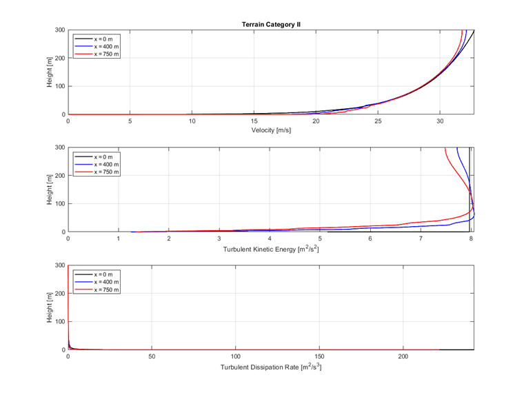
I seguenti grafici presentano lo sviluppo della velocità, dell'energia cinetica turbolenta e del tasso specifico di dissipazione in un tunnel del vento vuoto.
Categoria di terreno I
Categoria di terreno II
Categoria di terreno III
Categoria di terreno IV