Popis
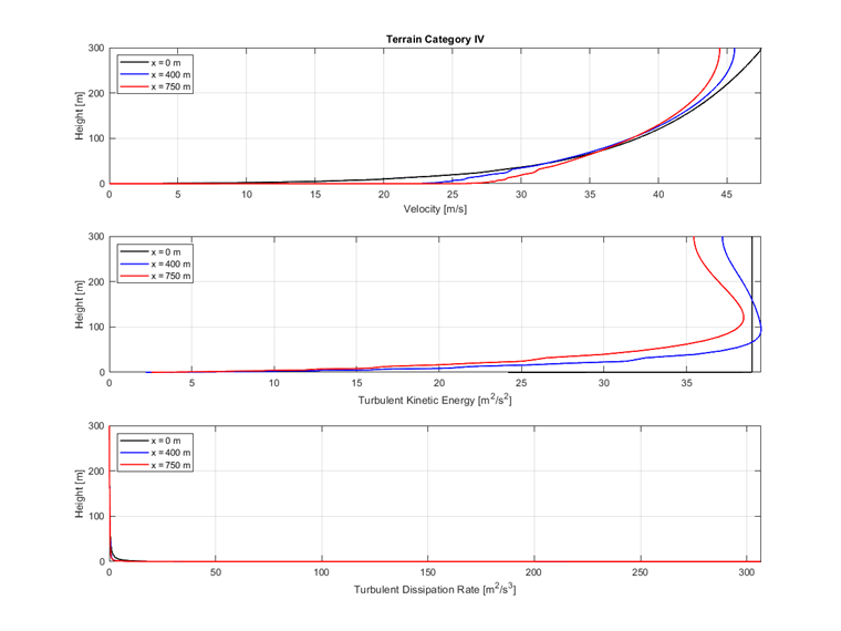
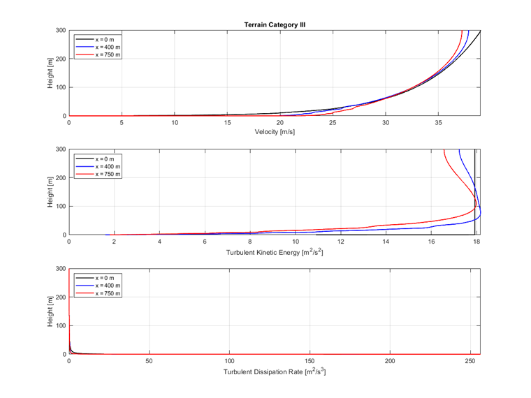
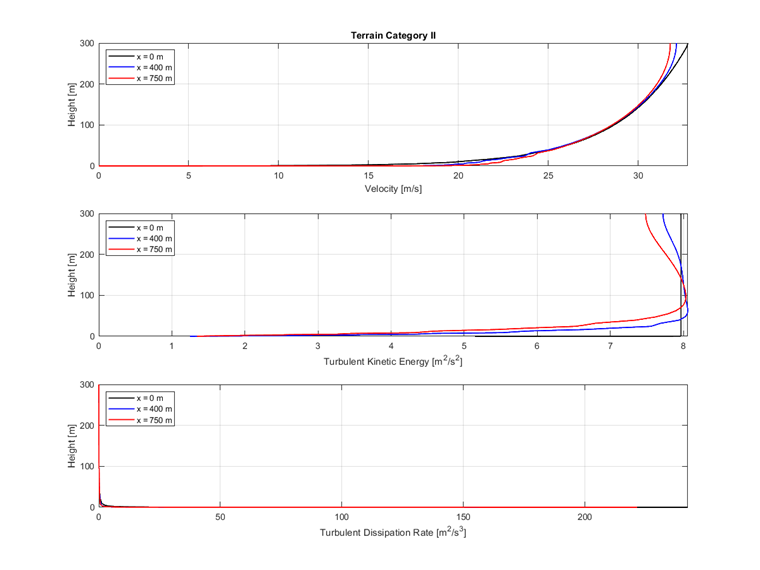
Tento příklad je založen na testu atmosférické mezní vrstvy (ABL) z dokumentu německé WTG: Informační list výboru 3 - Numerická simulace větrných proudů, kapitola 9.1 (viz reference). Před každou numerickou simulací by mělo být ověřeno, zda atmosférická mezní vrstva definovaná na vstupu dosahuje až ke konstrukci testováním jejího vývoje v prázdném tunelu. To ovlivňuje nejen rozložení rychlostí, ale také turbulentní veličiny. Test musí být proveden jak pro stacionární (RANS), tak pro přechodové (URANS, LES) výpočty. V následujícím článku je ukázán vývoj pole rychlosti, pole turbulentní kinetické energie a pole míry dissipace turbulencí pro čtyři kategorie terénu I až IV definované v normě EN 1991-1-4. Používá se vertikálně anizotropní turbulence dle kapitoly 6.3.1 a RANS k-ω SST model turbulence.
| Vlastnosti tekutiny | Kinematická viskozita | ν | 1.500e-5 | m2/s |
| Hustota | ρ | 1.250 | kg/m3 | |
| Větrný tunel | Délka | Dx | 800.000 | m |
| Šířka | Dy | 80.000 | m | |
| Výška | Dz | 300.000 | m | |
| Parametry výpočtu | Referenční rychlost | uref | 20.000 | m/s |
| Referenční výška | zref | 10.000 | m | |
| von Kármánova konstanta | κ | 0.410 | ||
| Konstanta turbulentní viskozity | Cμ | 0.090 |
Analytické řešení
Analytické řešení není k dispozici. Příklad poskytuje přehled o zvoleném vývoji pole veličin v prázdném větrném tunelu.
Profil rychlosti větru je vypočítán z následující rovnice:
kde u* je třecí rychlost, definovaná jako:
Profil turbulence k je definován podle následující rovnice:
Profil turbulence ω je vypočítán podle následující rovnice:
Nastavení simulace RWIND
- Modelováno v RWIND 3.03.0220
- Typ simulace proudění: stacionární
- Hustota sítě je 28%: 2 482 465 buněk
- Počet vrstev na hranici tunelu je 10
- Výška první buňky na dně je 0.046 m
- y+ se pohybuje od 800 do 1 000
- RANS k-ω SST model turbulence
- Vstupní okrajová podmínka - ABL v, k, ω nulový gradient tlaku
- Dno tunelu - okrajová podmínka bez smyku
- Stěny tunelu a vršek - okrajová podmínka s kluzným povrchem
- Výstupní okrajová podmínka - nulový tlak; nulový gradient rychlosti
Výsledky
Validační metrika je vypočítána podle WTG: Informační list výboru 3 - Numerická simulace větrných proudů, kapitola 5.3.2 (viz reference). Nejprve je vypočítána hodnota parametru úspěšnosti q pro střední hodnotu tlakového koeficientu. Zohledňuje se relativní odchylka Wrel.
|
N |
Total number of data points |
|
ni |
Indicator function (1 if prediction is “correct”, 0 otherwise) |
|
Pi |
Predicted value |
|
Oi |
Reference value |
|
Wrel |
Allowed relative deviation |
Alternativně může být také vypočítána relativní střední kvadratická chyba e2 podle následující rovnice.
Požadované hodnoty parametru úspěšnosti q jsou více než 90 % a relativní střední kvadratická chyba by měla být nižší než 0,01. Z následující tabulky je zřejmé, že srovnání vstupní rychlosti a rychlosti v tunelu (x = 0 m) splňuje požadavky.
| Kategorie terénu | q [%] pro Wrel = 10% | e2 [1] |
| TC I | 93,2 | 0,0007 |
| TC II | 93,2 | 0,0001 |
| TC III | 97,7 | 0,00001 |
| TC IV | 100,0 | 0,00001 |
Následující grafy ukazují vývoj rychlosti, turbulentní kinetické energie a specifické míry dissipace v prázdném větrném tunelu.
Kategorie terénu I
Kategorie terénu II
Kategorie terénu III
Kategorie terénu IV