Description
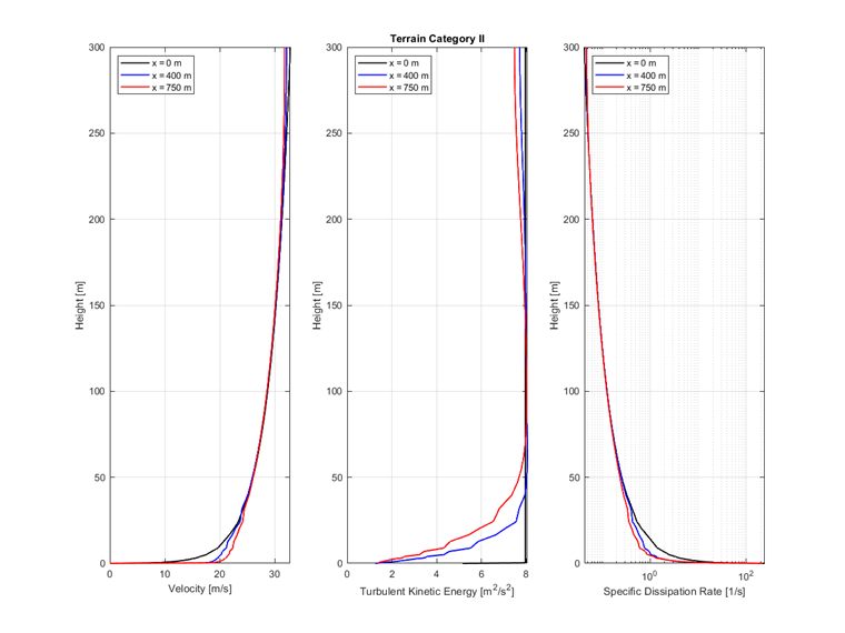
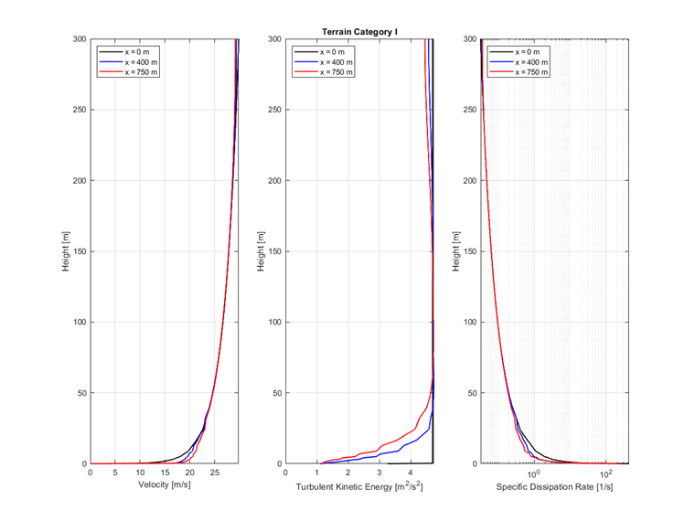
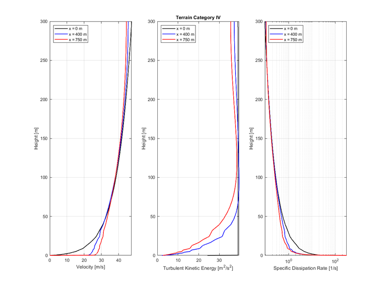
This example is based on the Atmospheric Boundary Layer (ABL) test from the document of German WTG: Fact Sheet of Committee 3 - Numerical Simulation of Wind Flows, Chapter 9.1 (see references). Before each numerical simulation, it should be checked whether the atmospheric boundary layer defined at the inflow reaches the structure by testing its development in an empty tunnel. This affects not only the distribution of the velocities, but also the turbulent quantities. The test must be carried out for both steady (RANS) and transient (URANS, LES) calculations. In the following article, the development of a velocity field, turbulence kinetic energy field, and turbulence dissipation rate field is shown for the four terrain categories I to IV defined in the EN 1991-1-4. A vertically anisotropic turbulence acc. to Chapter 6.3.1 and the RANS k-ω SST turbulence model is used.
| Fluid Properties | Kinematic Viscosity | ν | 1.500e-5 | m2/s |
| Density | ρ | 1.250 | kg/m3 | |
| Wind Tunnel | Length | Dx | 800.000 | m |
| Width | Dy | 80.000 | m | |
| Height | Dz | 300.000 | m | |
| Calculation Parameters | Reference Velocity | uref | 20.000 | m/s |
| Reference Height | zref | 10.000 | m | |
| von Kármán Constant | κ | 0.410 | ||
| Turbulence Viscosity Constant | Cμ | 0.090 |
Analytical Solution
An analytical solution is not available. The example provides an overview of the chosen quantity field development in an empty wind tunnel.
Wind speed profile is calculated from the following equation:
where u* is friction velocity, defined as:
Turbulence k profile is defined according following equation:
Turbulence ω profile is defined calculated according to the following equation:
RWIND Simulation Settings
- Modeled in RWIND 3.03.0220
- Steady flow simulation type
- Mesh density is 28%: 2,482,465 cells
- Number of tunnel boundary layers is 10
- The height of the first cell at the bottom is 0.046 m
- y+ ranges from 800 to 1,000
- RANS k-ω SST turbulence model
- Inlet boundary condition - ABL v, k, ω zero pressure gradient
- Tunnel bottom - no-slip boundary condition
- Tunnel walls and top - slip boundary condition
- Outlet boundary condition - zero pressure; zero velocity gradient
Results
The validation metric is calculated according to WTG: Fact Sheet of Committee 3 - Numerical Simulation of Wind Flows, Chapter 5.3.2 (see references). At first, the value of the hit rate parameter q for the mean value of the pressure coefficient is calculated. The relative deviation Wrel is considered.
|
N |
Total number of data points |
|
ni |
Indicator function (1 if prediction is “correct”, 0 otherwise) |
|
Pi |
Predicted value |
|
Oi |
Reference value |
|
Wrel |
Allowed relative deviation |
Alternatively, the relative mean square error e2 can also be calculated according to the following formula.
The desired values of the hit rate parameter q are more than 90% and the relative mean square error should be lower than 0.01. From the following table, it is clear that the comparison of the input velocity and the velocity in the tunnel (x = 0 m) meets the requirements.
| Terrain category | q [%] for Wrel = 10% | e2 [1] |
| TC I | 93.2 | 0.0007 |
| TC II | 93.2 | 0.0001 |
| TC III | 97.7 | 0.00001 |
| TC IV | 100.0 | 0.00001 |
The following graphs present the development of the velocity, turbulent kinetic energy, and specific dissipation rate in an empty wind tunnel.
Terrain category I
Terrain category II
Terrain category III
Terrain category IV