7134x
003505
24-06-2021

Amortiguamiento de Rayleigh

En RF-/DYNAM Pro, está el amortiguamiento de Rayleigh. Wie ermittle ich diese Koeffizienten und wie werden diese verwendet?


Respuesta:

Para algunos métodos de resolución, los coeficientes de Rayleigh son absolutamente necesarios. Da in der Literatur meist nur die Lehrschen Dämpfungswerte angegeben sind, müssen diese umgerechnet werden.

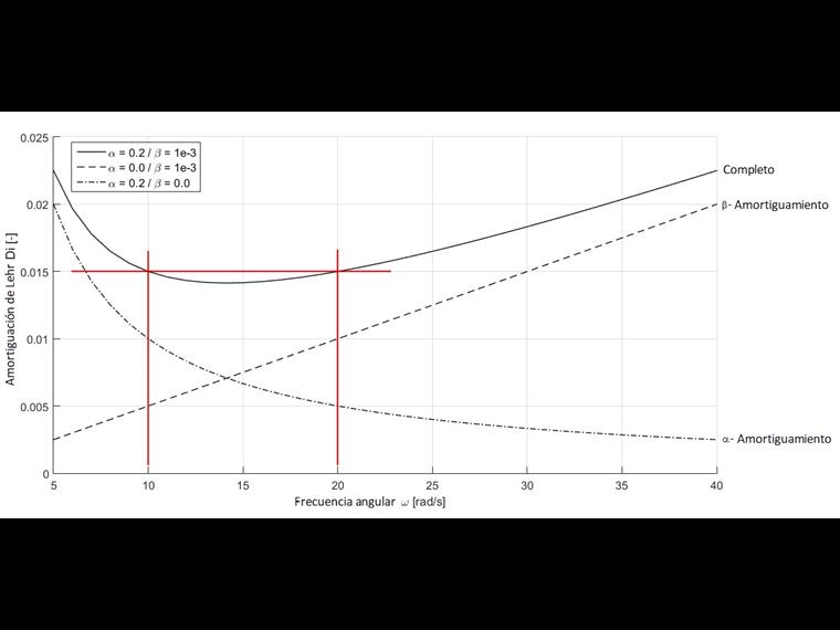
Für die Umrechnung der Lehrschen Dämpfungswerte in die Rayleigh-Koeffizienten wird folgende Formel verwendet:

Donde α y β son los coeficientes de Rayleigh. Es muss ein Gleichungssystem aufgestellt werden, in dem jeweils die Eigenkreisfrequenzen der beiden dominantesten Eigenformen eingesetzt werden müssen. Für diese beiden Eigenformen wird die Struktur dann mit dem vorgegebenen Lehrschen Dämpfungswert gedämpft. Todas las demás deformadas del modo de la estructura tienen valores de amortiguamiento diferentes. Diese ergeben sich aus der Kurve, welche in Bild 01 dargestellt wird. Die Kurve zeigt ein Beispiel für die beiden Eigenkreisfrequenzen von 10 und 20 rad/s und eine Lehrsche Dämpfung von 0,015.

Für die Umrechnung kann ebenfalls das Umrechnungstool verwendet werden, welches über die Schaltfläche "Aus der Lehrschen Dämpfung berechnen..." geöffnet werden kann.


Autor

La Sra. Effler es responsable del desarrollo de productos para el análisis dinámico y proporciona soporte técnico para nuestros clientes.

Referencias
Descargas


;