7134x
003505
24.06.2021

Amortissement de Rayleigh

L’amortissement Rayleigh est disponible dans RF-/DYNAM Pro. Comment déterminer les coefficients associés et comment sont-ils utilisés ?


Réponse:

Les coefficients de Rayleigh sont absolument nécessaires pour certaines méthodes de résolution. Seules les valeurs d’amortissement de Lehr étant généralement indiquées dans la littérature spécialisée, elles doivent être converties.

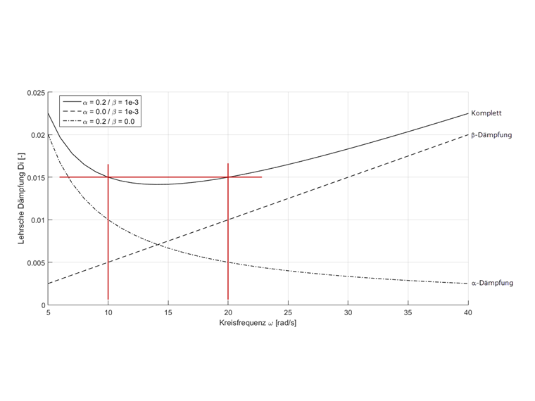
La formule suivante est utilisée pour convertir les valeurs d'amortissement de Lehr en coefficients de Rayleigh :

α et β sont les coefficients de Rayleigh. Il est nécessaire de définir un système d'équations dans lequel les fréquences angulaires respectives des deux modes propres les plus dominants sont utilisées. Pour ces deux modes, la structure est alors amortie avec la valeur d’amortissement de Lehr spécifiée. Tous les autres modes propres de la structure sont amortis avec des valeurs différentes, qui résultent de la courbe illustrée sur la Figure 01. Cette courbe montre un exemple des deux fréquences angulaires de 10 et 20 rad/s et d'un amortissement de Lehr de 0,015.

L’outil de conversion correspondant peut également être utilisé à l’aide du bouton « Calculer à partir de l’amortissement de Lehr... ».


Auteur

Mme Effler est responsable du développement de produits pour l'analyse dynamique et fournit une assistance technique à nos clients.

Références
Téléchargements


;