7021x
003505
24. Juni 2021

Rayleigh-Dämpfung

In RF-/DYNAM Pro gibt es die Rayleigh-Dämpfung. Wie ermittle ich diese Koeffizienten und wie werden diese verwendet?


Antwort:

Für einige Lösungsmethoden werden die Rayleigh-Koeffizienten zwingend benötigt. Da in der Literatur meist nur die Lehrschen Dämpfungswerte angegeben sind, müssen diese umgerechnet werden.

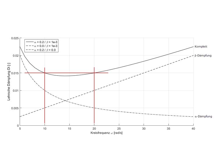
Für die Umrechnung der Lehrschen Dämpfungswerte in die Rayleigh-Koeffizienten wird folgende Formel verwendet:

Dabei sind α und β die Rayleigh-Koeffizienten. Es muss ein Gleichungssystem aufgestellt werden, in dem jeweils die Eigenkreisfrequenzen der beiden dominantesten Eigenformen eingesetzt werden müssen. Für diese beiden Eigenformen wird die Struktur dann mit dem vorgegebenen Lehrschen Dämpfungswert gedämpft. Alle anderen Eigenformen der Struktur werden mit anderen Werten gedämpft. Diese ergeben sich aus der Kurve, welche in Bild 01 dargestellt wird. Die Kurve zeigt ein Beispiel für die beiden Eigenkreisfrequenzen von 10 und 20 rad/s und eine Lehrsche Dämpfung von 0,015.

Für die Umrechnung kann ebenfalls das Umrechnungstool verwendet werden, welches über die Schaltfläche "Aus der Lehrschen Dämpfung berechnen..." geöffnet werden kann.


Autor

Frau Effler betreut die Entwicklung im Bereich Dynamik und unterstützt unsere Anwender im Kundensupport.

Referenzen
Downloads


;