描述
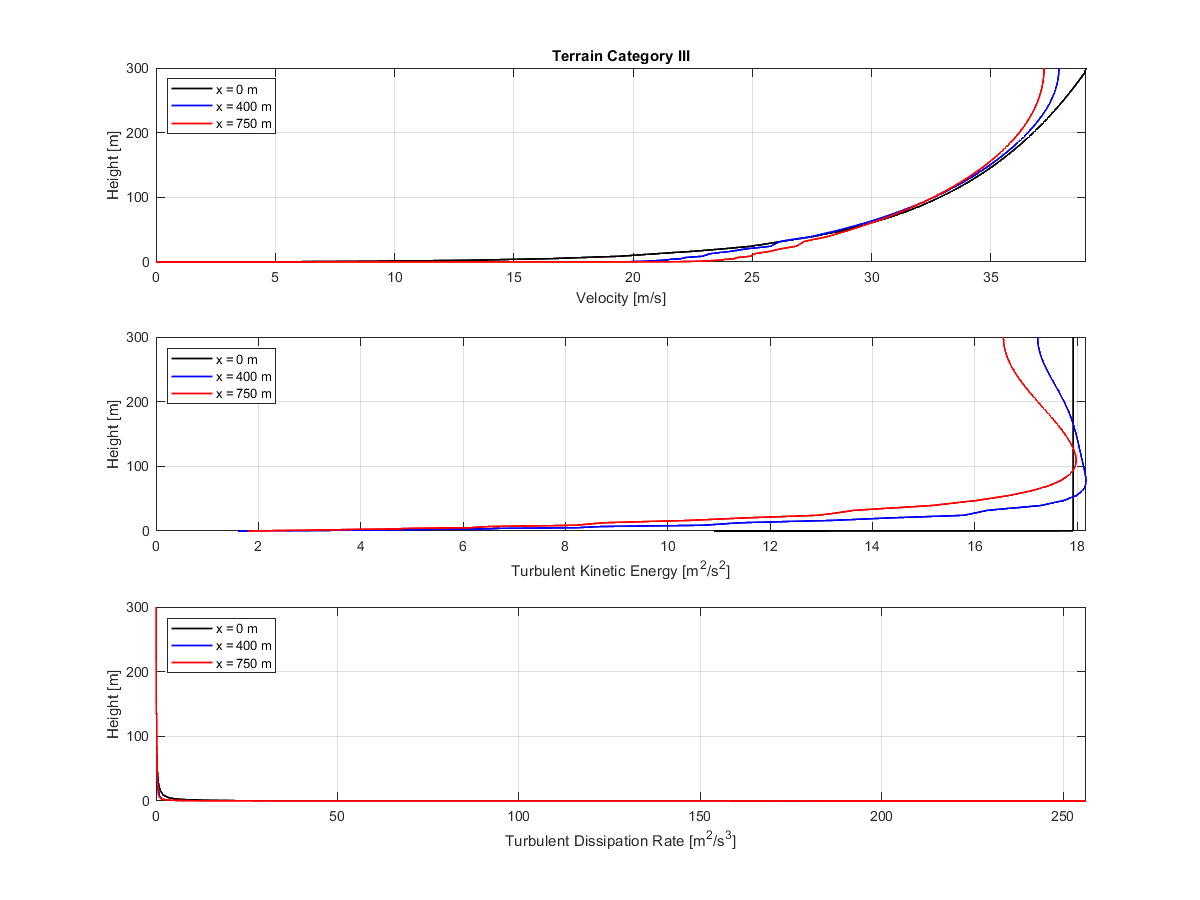
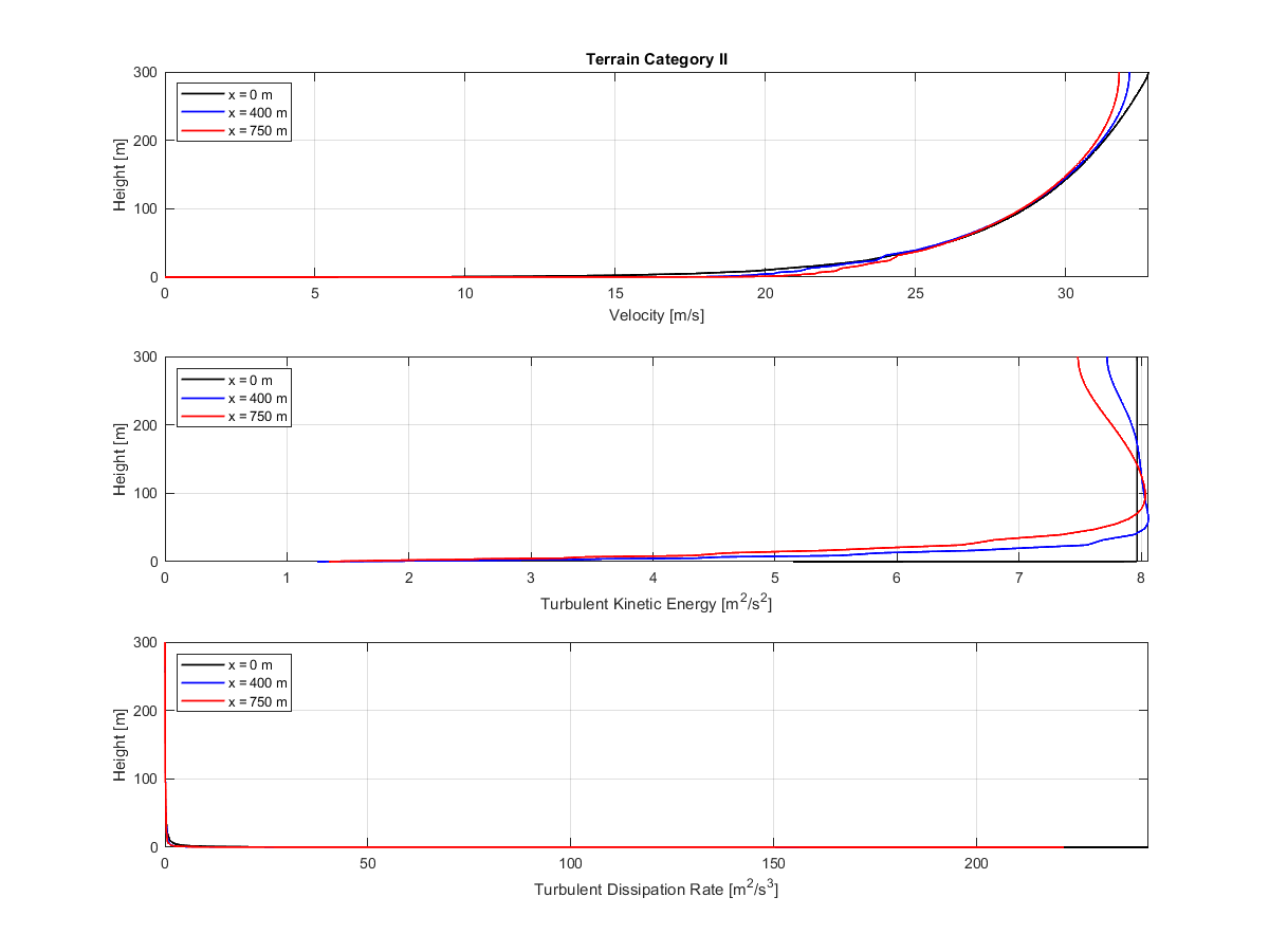
本例基于德国WTG文档中的大气边界层(ABL)测试:委员会3的说明书 - 风流数值模拟,第9.1章(参见参考文献)。在进行每个数值模拟之前,应通过在空隧道中测试其发展来检查定义在流入处的大气边界层是否到达结构。这不仅影响速度分布,还影响湍流量。测试必须针对稳态(RANS)和瞬态(URANS,LES)计算进行。本文中,展示了EN 1991-1-4定义的地形类别I至IV的速度场、湍动能场和湍流耗散率场的发展。使用的是根据第6.3.1章的垂直各向异性湍流和RANS k-ω SST湍流模型。
| 流体特性 | 运动粘度 | ν | 1.500e-5 | m2/s |
| 密度 | ρ | 1.250 | kg/m3 | |
| 风洞 | 长度 | Dx | 800.000 | m |
| 宽度 | Dy | 80.000 | m | |
| 高度 | Dz | 300.000 | m | |
| 计算参数 | 参考速度 | uref | 20.000 | m/s |
| 参考高度 | zref | 10.000 | m | |
| 冯·卡门常数 | κ | 0.410 | ||
| 湍流粘度常数 | Cμ | 0.090 |
分析解
没有可用的分析解。此示例提供了空风洞中所选量场发展的概述。
风速剖面由下列方程计算:
其中u*是摩擦速度,定义为:
湍流k剖面按照下列方程定义:
湍流ω剖面按照下列方程计算:
RWIND模拟设置
- 在RWIND 3.03.0220中建模
- 稳态流动模拟类型
- 网格密度为28%:2,482,465个单元
- 隧道边界层的数量为10
- 底部第一个单元的高度为0.046 m
- y+范围从800到1,000
- RANS k-ω SST湍流模型
- 入口边界条件 - ABL v, k, ω;零压力梯度
- 隧道底部 - 无滑移边界条件
- 隧道墙和顶部 - 滑移边界条件
- 出口边界条件 - 零压力;零速度梯度
结果
验证指标根据WTG:委员会3的说明书 - 风流数值模拟,第5.3.2章(参见参考文献)计算。首先,计算压力系数均值的命中率参数q的值。考虑相对偏差Wrel。
|
N |
Total number of data points |
|
ni |
Indicator function (1 if prediction is “correct”, 0 otherwise) |
|
Pi |
Predicted value |
|
Oi |
Reference value |
|
Wrel |
Allowed relative deviation |
另外,亦可根据下列公式计算相对均方误差e2。
命中率参数q的期望值应超过90%,相对均方误差应低于0.01。以下表格清楚表明,输入速度与隧道中的速度(x = 0 m)的比较符合要求。
| 地形类别 | q [%] 对于 Wrel = 10% | e2 [1] |
| TC I | 93.2 | 0.0007 |
| TC II | 93.2 | 0.0001 |
| TC III | 97.7 | 0.00001 |
| TC IV | 100.0 | 0.00001 |
以下图表展示了空风洞中速度、湍动能和特定耗散率的发展。
地形类别 I
地形类别 II
地形类别 III
地形类别 IV