Popis
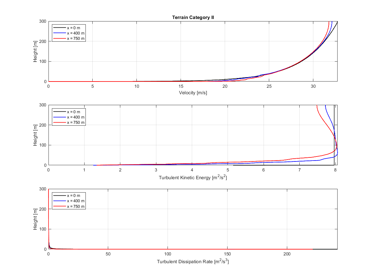
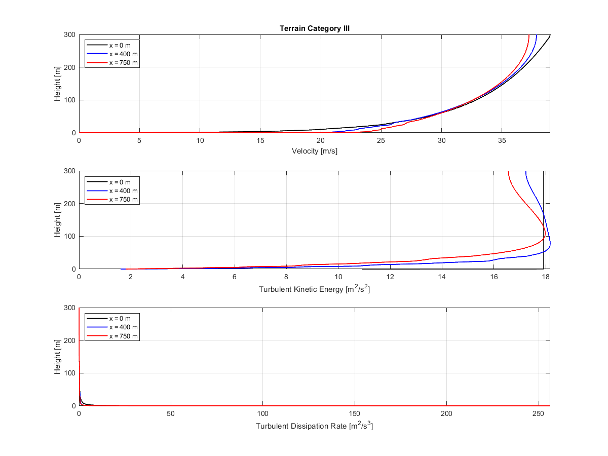
Tento příklad vychází z testu atmosférické mezní vrstvy (ABL) z dokumentu německé WTG: Informační list výboru 3 – Numerická simulace proudění větru, kapitola 9.1 (viz odkazy). Před každou numerickou simulací je třeba zkontrolovat, zda atmosférická mezní vrstva definovaná na vstupu dosahuje konstrukce, a to testováním jejího vývoje v prázdném tunelu. To má vliv nejen na rozložení rychlostí, ale také na turbulentní veličiny. Test musí být proveden jak pro ustálené (RANS), tak pro přechodné (URANS, LES) výpočty. V následujícím článku je uveden vývoj pole rychlosti, pole kinetické energie turbulence a pole míry disipace turbulence pro čtyři kategorie terénu I až IV definované v normě EN 1991-1-4. Používá se vertikálně anizotropní turbulence podle kapitoly 6.3.1 a model turbulence RANS k-ω SST.
| ‚‘'Vlastnosti tekutiny'‚‘ | Kinematická viskozita | ν | 1,500e-5 | m2/s |
| Hustota | ρ | 1,250 | kg/m3 | |
| ‚‘'Větrný tunel'‚‘ | Délka | Dx | 800,000 | m |
| Šířka | Dy | 80,000 | m | |
| Výška | Dz | 300,000 | m | |
| ‚‘'Výpočet parametry'‚‘ | Referenční rychlost | uref | 20,000 | m/s |
| Referenční výška | zref | 10,000 | m | |
| Kármánova konstanta | κ | 0,410 | ||
| Konstanta viskozity turbulence | Cμ | 0,090 |
Analytické řešení
Analytické řešení není k dispozici. Příklad poskytuje přehled vývoje zvoleného pole veličin v prázdném větrném tunelu.
Profil rychlosti větru se vypočítá z následujícího vzorce:
kde u* je třecí rychlost, definovaná jako:
Profil turbulence k je definován podle následujícího vzorce:
Profil turbulence ω je definován a vypočítán podle následující rovnice:
Nastavení simulace RWIND
- Modelováno v programu RWIND 3.03.0220
- Typ simulace ustáleného proudění
- Hustota sítě je 28 %: 2 482 465 buněk
- Počet mezních vrstev tunelu je 10
- Výška první buňky ve spodní části je 0,046 m
- y+ se pohybuje v rozmezí 800 až 1 000
- Turbulenční model RANS k-ω SST
- Okrajová podmínka na vstupu – ABL v, k, ω; nulový tlakový gradient
- Dno tunelu – mezní podmínka bez skluzu
- Stěny a as,horní tunelu – mezní podmínka se skluzem
- Mezní podmínka výstupu – nulový tlak; nulový gradient rychlosti
Výsledky
Metrika validace je vypočítána podle WTG: Informační list výboru 3 – Numerická simulace proudění větru, kapitola 5.3.2 (viz odkazy). Nejprve se provede výpočet hodnoty parametru úspěšnosti q pro střední hodnotu součinitele tlaku. Zohledňuje se relativní odchylka Wrel.
|
N |
Total number of data points |
|
ni |
Indicator function (1 if prediction is “correct”, 0 otherwise) |
|
Pi |
Predicted value |
|
Oi |
Reference value |
|
Wrel |
Allowed relative deviation |
Alternativně lze také vypočítat relativní střední kvadratickou chybu e2 podle následujícího vzorce.
Požadované hodnoty parametru úspěšnosti q jsou více než 90 % a relativní střední kvadratická chyba by měla být nižší než 0,01. Z následující tabulky je zřejmé, že srovnání vstupní rychlosti a rychlosti v tunelu (x = 0 m) splňuje požadavky.
| ‚‘'Kategorie terénu'‚‘ | q [%] pro Wrel = 10 % | e2 [1] |
| TC I | 93,2 | 0,0007 |
| TC II | 93,2 | 0,0001 |
| TC III | 97,7 | 0,00001 |
| TC IV | 100,0 | 0,00001 |
Následující grafy znázorňují vývoj rychlosti, turbulentní kinetické energie a míry disipace v prázdném větrném tunelu.
‚‘'Kategorie terénu I'‚‘
‚‘'Kategorie terénu II'‚‘
‚‘'Kategorie terénu III'‚‘
‚‘'Kategorie terénu IV'‚‘