Descripción
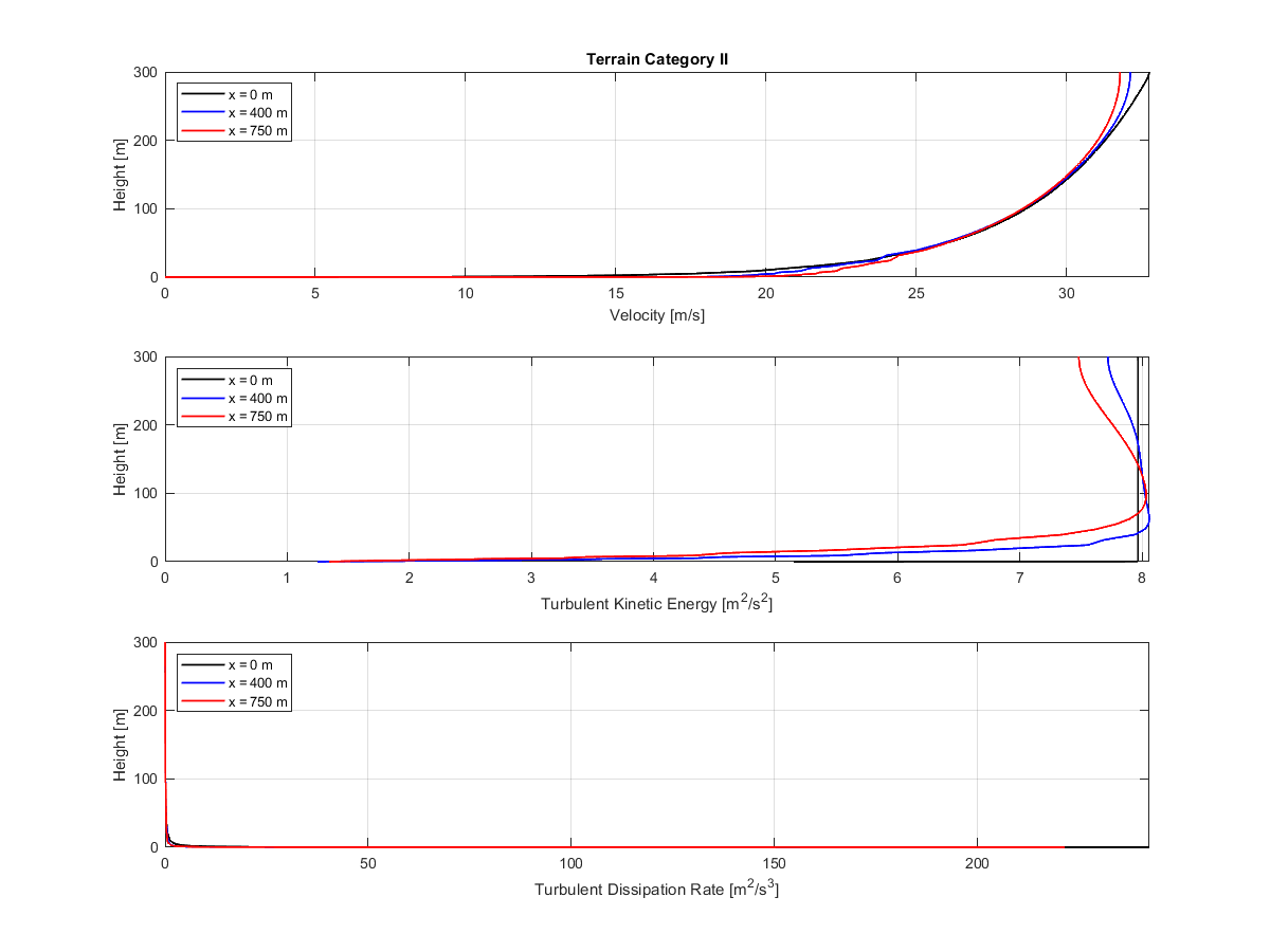
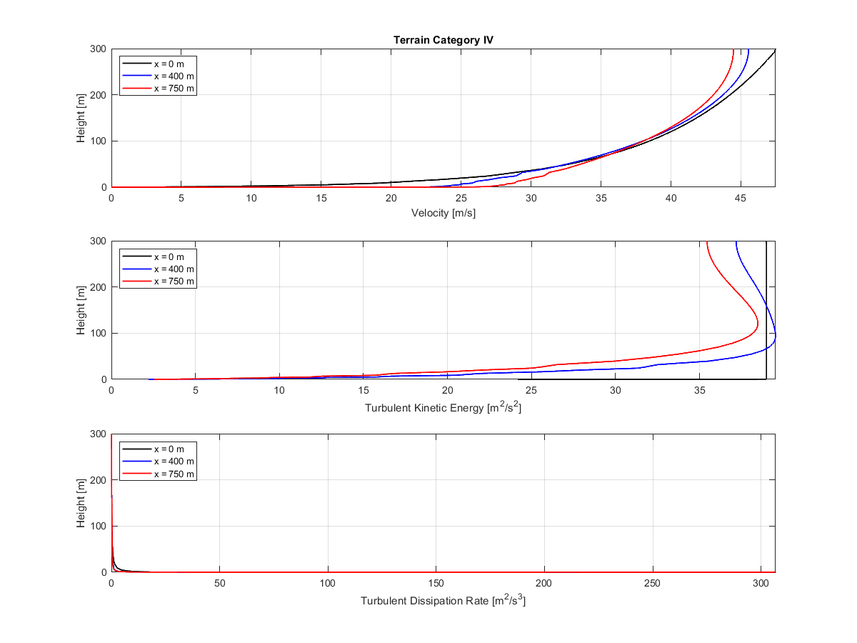
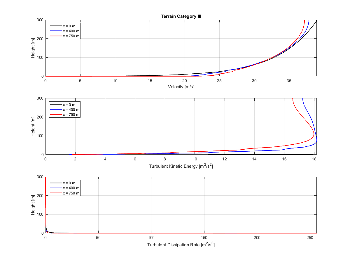
Este ejemplo se basa en la prueba de la Capa Límite Atmosférica (ABL) del documento del WTG alemán: Hoja de datos del Comité 3 - Simulación Numérica de Flujos de Viento, Capítulo 9.1 (ver referencias). Antes de cada simulación numérica, se debe verificar si la capa límite atmosférica definida en la entrada llega a la estructura al probar su desarrollo en un túnel vacío. Esto afecta no solo la distribución de las velocidades, sino también las cantidades turbulentas. La prueba debe realizarse tanto para cálculos estacionarios (RANS) como transitorios (URANS, LES). En el siguiente artículo, se muestra el desarrollo de un campo de velocidad, un campo de energía cinética de turbulencia y un campo de tasa de disipación de turbulencia para las cuatro categorías de terreno I a IV definidas en la EN 1991-1-4. Se utiliza una turbulencia anisotrópica vertical según el Capítulo 6.3.1 y el modelo de turbulencia RANS k-ω SST.
| Propiedades del Fluido | Viscosidad Cinématica | ν | 1.500e-5 | m2/s |
| Densidad | ρ | 1.250 | kg/m3 | |
| Túnel de Viento | Longitud | Dx | 800.000 | m |
| Ancho | Dy | 80.000 | m | |
| Altura | Dz | 300.000 | m | |
| Parámetros de Cálculo | Velocidad de Referencia | uref | 20.000 | m/s |
| Altura de Referencia | zref | 10.000 | m | |
| Constante de von Kármán | κ | 0.410 | ||
| Constante de Viscosidad Turbulenta | Cμ | 0.090 |
Solución Analítica
No hay una solución analítica disponible. El ejemplo proporciona una visión general del desarrollo del campo de cantidad elegido en un túnel de viento vacío.
El perfil de velocidad del viento se calcula a partir de la siguiente ecuación:
donde u* es la velocidad de fricción, definida como:
El perfil de turbulencia k se define según la siguiente ecuación:
El perfil de turbulencia ω se define calculado de acuerdo con la siguiente ecuación:
Configuraciones de Simulación RWIND
- Modelado en RWIND 3.03.0220
- Tipo de simulación de flujo estacionario
- Densidad de malla es 28%: 2,482,465 celdas
- Número de capas límite del túnel es 10
- La altura de la primera celda en el fondo es 0.046 m
- y+ varía de 800 a 1,000
- Modelo de turbulencia RANS k-ω SST
- Condición de contorno de entrada - ABL v, k, ω; gradiente de presión cero
- Fondo del túnel - condición de contorno sin deslizamiento
- Paredes del túnel y parte superior - condición de contorno deslizante
- Condición de contorno de salida - presión cero; gradiente de velocidad cero
Resultados
La métrica de validación se calcula de acuerdo con el WTG: Hoja de datos del Comité 3 - Simulación Numérica de Flujos de Viento, Capítulo 5.3.2 (ver referencias). Primero, se calcula el valor del parámetro de tasa de aciertos q para el valor medio del coeficiente de presión. Se considera la desviación relativa Wrel.
|
N |
Total number of data points |
|
ni |
Indicator function (1 if prediction is “correct”, 0 otherwise) |
|
Pi |
Predicted value |
|
Oi |
Reference value |
|
Wrel |
Allowed relative deviation |
Alternativamente, también se puede calcular el error cuadrático medio relativo e2 de acuerdo con la siguiente fórmula.
Los valores deseados del parámetro de tasa de aciertos q son superiores al 90% y el error cuadrático medio relativo debe ser inferior a 0.01. En la siguiente tabla, queda claro que la comparación de la velocidad de entrada y la velocidad en el túnel (x = 0 m) cumple con los requisitos.
| Categoría de terreno | q [%] para Wrel = 10% | e2 [1] |
| TC I | 93.2 | 0.0007 |
| TC II | 93.2 | 0.0001 |
| TC III | 97.7 | 0.00001 |
| TC IV | 100.0 | 0.00001 |
Los siguientes gráficos presentan el desarrollo de la velocidad, la energía cinética de turbulencia y la tasa de disipación específica en un túnel de viento vacío.
Categoría de terreno I
Categoría de terreno II
Categoría de terreno III
Categoría de terreno IV