Description
Cet exemple est basé sur le test de la couche limite atmosphérique (ABL) du document du WTG allemand : Fiche technique du Comité 3 - Simulation numérique des flux de vent, Chapitre 9.1 (voir références). Avant chaque simulation numérique, il convient de vérifier si la couche limite atmosphérique définie à l'entrée atteint la structure en testant son développement dans un tunnel vide. Cela affecte non seulement la distribution des vitesses, mais aussi les quantités turbulentes. Le test doit être effectué pour les calculs stationnaires (RANS) et transitoires (URANS, LES). Dans l'article suivant, le développement d'un champ de vitesse, d'un champ d'énergie cinétique turbulente et d'un champ de taux de dissipation de la turbulence est montré pour les quatre catégories de terrain I à IV définies dans EN 1991-1-4. Une turbulence anisotrope verticale selon le chapitre 6.3.1 et le modèle de turbulence k-ω SST RANS sont utilisés.
| Propriétés du fluide | Viscosité cinématique | ν | 1.500e-5 | m2/s |
| Densité | ρ | 1.250 | kg/m3 | |
| Tunnel de vent | Longueur | Dx | 800.000 | m |
| Largeur | Dy | 80.000 | m | |
| Hauteur | Dz | 300.000 | m | |
| Paramètres de calcul | Vitesse de référence | uref | 20.000 | m/s |
| Hauteur de référence | zref | 10.000 | m | |
| Constante de von Kármán | κ | 0.410 | ||
| Constante de viscosité turbulente | Cμ | 0.090 |
Solution analytique
Une solution analytique n'est pas disponible. L'exemple fournit un aperçu du développement du champ de quantités choisi dans un tunnel de vent vide.
Le profil de vitesse du vent est calculé à partir de l'équation suivante :
où u* est la vitesse de frottement, définie comme :
Le profil de turbulence k est défini selon l'équation suivante :
Le profil de ω de turbulence est calculé selon l'équation suivante :
Paramètres de simulation RWIND
- Modélisé dans RWIND 3.03.0220
- Type de simulation d'écoulement stationnaire
- Densité de maillage de 28% : 2,482,465 cellules
- Nombre de couches limites du tunnel : 10
- La hauteur de la première cellule au fond est de 0.046 m
- y+ varie de 800 à 1,000
- Modèle de turbulence RANS k-ω SST
- Condition à la limite d'entrée - ABL v, k, ω; gradient de pression nul
- Fond du tunnel - condition de non-glissement
- Murs et plafond du tunnel - condition de glissement
- Condition à la limite de sortie - pression nulle ; gradient de vitesse nul
Résultats
La métrique de validation est calculée selon WTG : Fiche technique du Comité 3 - Simulation numérique des flux de vent, Chapitre 5.3.2 (voir références). Dans un premier temps, la valeur du paramètre de taux de réussite q pour la valeur moyenne du coefficient de pression est calculée. La déviation relative Wrel est considérée.
|
N |
Total number of data points |
|
ni |
Indicator function (1 if prediction is “correct”, 0 otherwise) |
|
Pi |
Predicted value |
|
Oi |
Reference value |
|
Wrel |
Allowed relative deviation |
Alternativement, l'erreur quadratique moyenne relative e2 peut également être calculée selon la formule suivante.
Les valeurs souhaitées du paramètre de taux de réussite q sont supérieures à 90% et l'erreur quadratique moyenne relative doit être inférieure à 0.01. À partir du tableau suivant, il est clair que la comparaison de la vitesse d'entrée et de la vitesse dans le tunnel (x = 0 m) répond aux exigences.
| Catégorie de terrain | q [%] pour Wrel = 10% | e2 [1] |
| TC I | 93.2 | 0.0007 |
| TC II | 93.2 | 0.0001 |
| TC III | 97.7 | 0.00001 |
| TC IV | 100.0 | 0.00001 |
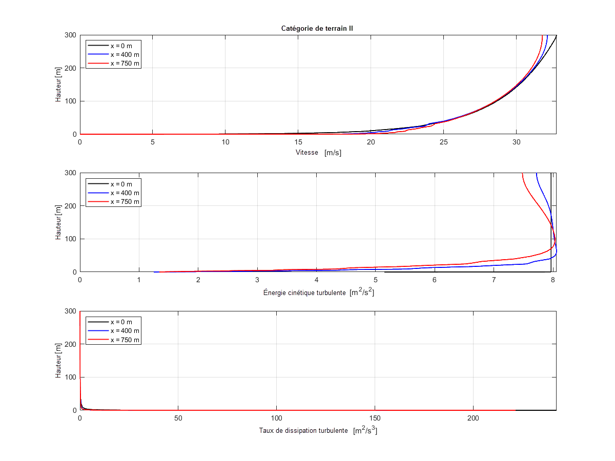
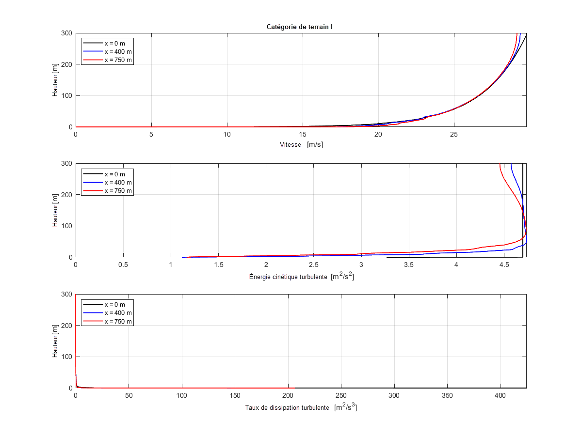
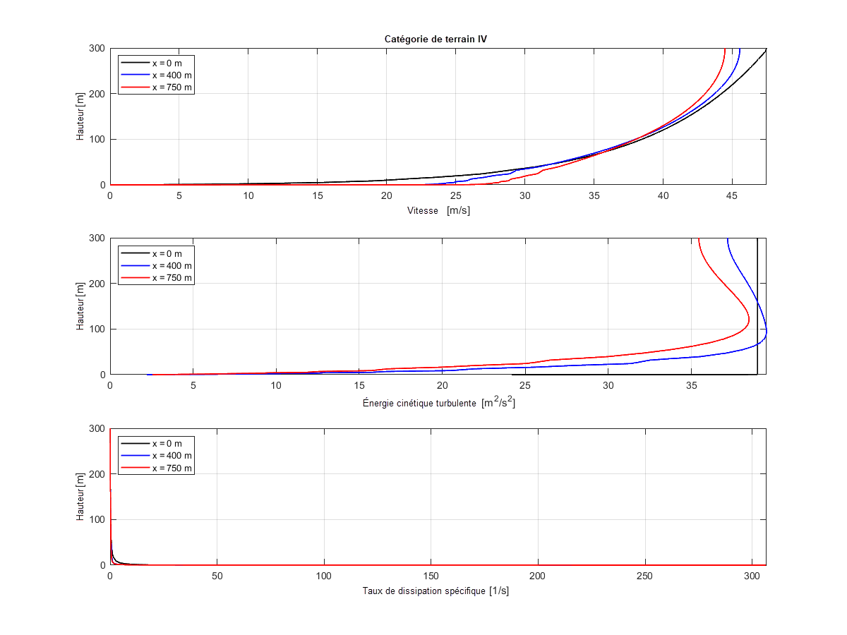
Les graphiques suivants présentent le développement de la vitesse, de l'énergie cinétique turbulente et du taux de dissipation spécifique dans un tunnel de vent vide.
Catégorie de terrain I
Catégorie de terrain II
Catégorie de terrain III
Catégorie de terrain IV