Descrizione
Questo esempio si basa sul test dello strato limite atmosferico (ABL) dal documento del WTG tedesco: Scheda informativa del Comitato 3 - Simulazione numerica dei flussi di vento, Capitolo 9.1 (vedi riferimenti). Prima di ogni simulazione numerica, si dovrebbe verificare se lo strato limite atmosferico definito all'ingresso arrivi alla struttura testando il suo sviluppo in un tunnel vuoto. Questo non riguarda solo la distribuzione delle velocità, ma anche le quantità turbolente. Il test deve essere eseguito sia per i calcoli stazionari (RANS) che per quelli transitori (URANS, LES). Nell'articolo seguente, è mostrato lo sviluppo di un campo di velocità, campo di energia cinetica turbolenta e campo di tasso di dissipazione turbolenta per le quattro categorie di terreno da I a IV definite nella EN 1991-1-4. Viene utilizzata una turbolenza anizotropica verticale secondo il Capitolo 6.3.1 e il modello di turbolenza RANS k-ω SST.
| Proprietà del Fluido | Viscosità Cinematica | ν | 1.500e-5 | m2/s |
| Densità | ρ | 1.250 | kg/m3 | |
| Galleria del Vento | Lunghezza | Dx | 800.000 | m |
| Larghezza | Dy | 80.000 | m | |
| Altezza | Dz | 300.000 | m | |
| Parametri di Calcolo | Velocità di Riferimento | uref | 20.000 | m/s |
| Altezza di Riferimento | zref | 10.000 | m | |
| Costante di von Kármán | κ | 0.410 | ||
| Costante di Viscosità Turbolenta | Cμ | 0.090 |
Soluzione Analitica
Non è disponibile una soluzione analitica. L'esempio fornisce una panoramica dello sviluppo del campo delle quantità selezionate in una galleria del vento vuota.
Il profilo di velocità del vento è calcolato dalla seguente equazione:
dove u* è la velocità di attrito, definita come:
Il profilo di turbolenza k è definito secondo la seguente equazione:
Il profilo di turbolenza ω è calcolato secondo la seguente equazione:
Impostazioni di Simulazione RWIND
- Modellato in RWIND 3.03.0220
- Tipo di simulazione flusso stazionario
- Densità della mesh è del 28%: 2.482.465 celle
- Numero di strati di confine del tunnel è 10
- L'altezza della prima cella in basso è 0.046 m
- y+ varia da 800 a 1.000
- Modello di turbolenza RANS k-ω SST
- Condizione al contorno di ingresso - ABL v, k, ω; gradiente di pressione zero
- Fondo del tunnel - condizione al contorno no-slip
- Pareti e parte superiore del tunnel - condizione al contorno slip
- Condizione al contorno di uscita - pressione zero; gradiente di velocità zero
Risultati
La metrica di validazione è calcolata secondo WTG: Scheda informativa del Comitato 3 - Simulazione Numerica dei Flussi di Vento, Capitolo 5.3.2 (vedi riferimenti). In primo luogo, viene calcolato il valore del parametro di tasso di successo q per il valore medio del coefficiente di pressione. Si considera la deviazione relativa Wrel.
|
N |
Total number of data points |
|
ni |
Indicator function (1 if prediction is “correct”, 0 otherwise) |
|
Pi |
Predicted value |
|
Oi |
Reference value |
|
Wrel |
Allowed relative deviation |
In alternativa, l'errore quadratico medio relativo e2 può essere calcolato secondo la seguente formula.
I valori desiderarti del parametro di tasso di successo q sono superiori al 90% e l'errore quadratico medio relativo dovrebbe essere inferiore a 0,01. Dalla seguente tabella, è chiaro che il confronto tra la velocità di ingresso e la velocità nel tunnel (x = 0 m) soddisfa i requisiti.
| Categoria di terreno | q [%] per Wrel = 10% | e2 [1] |
| TC I | 93.2 | 0.0007 |
| TC II | 93.2 | 0.0001 |
| TC III | 97.7 | 0.00001 |
| TC IV | 100.0 | 0.00001 |
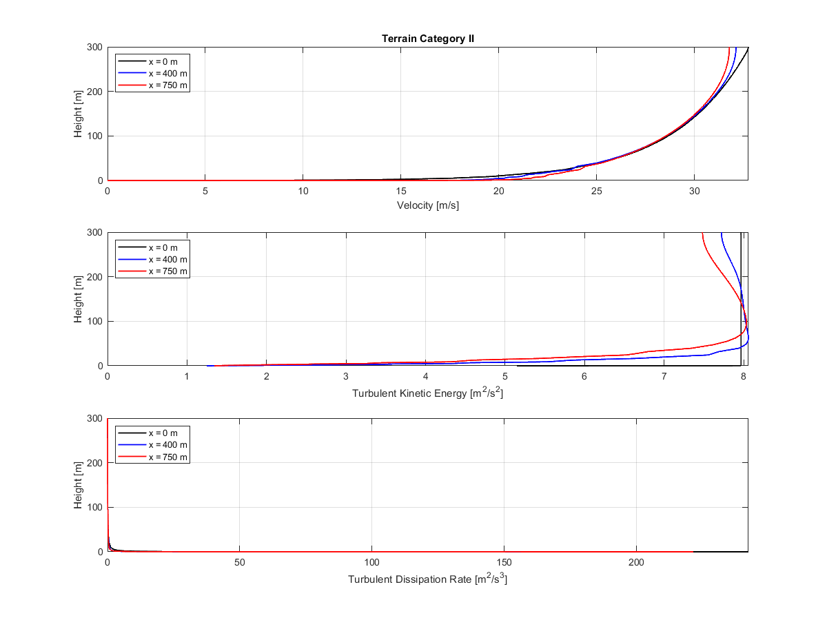
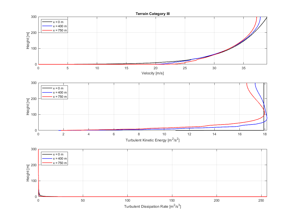
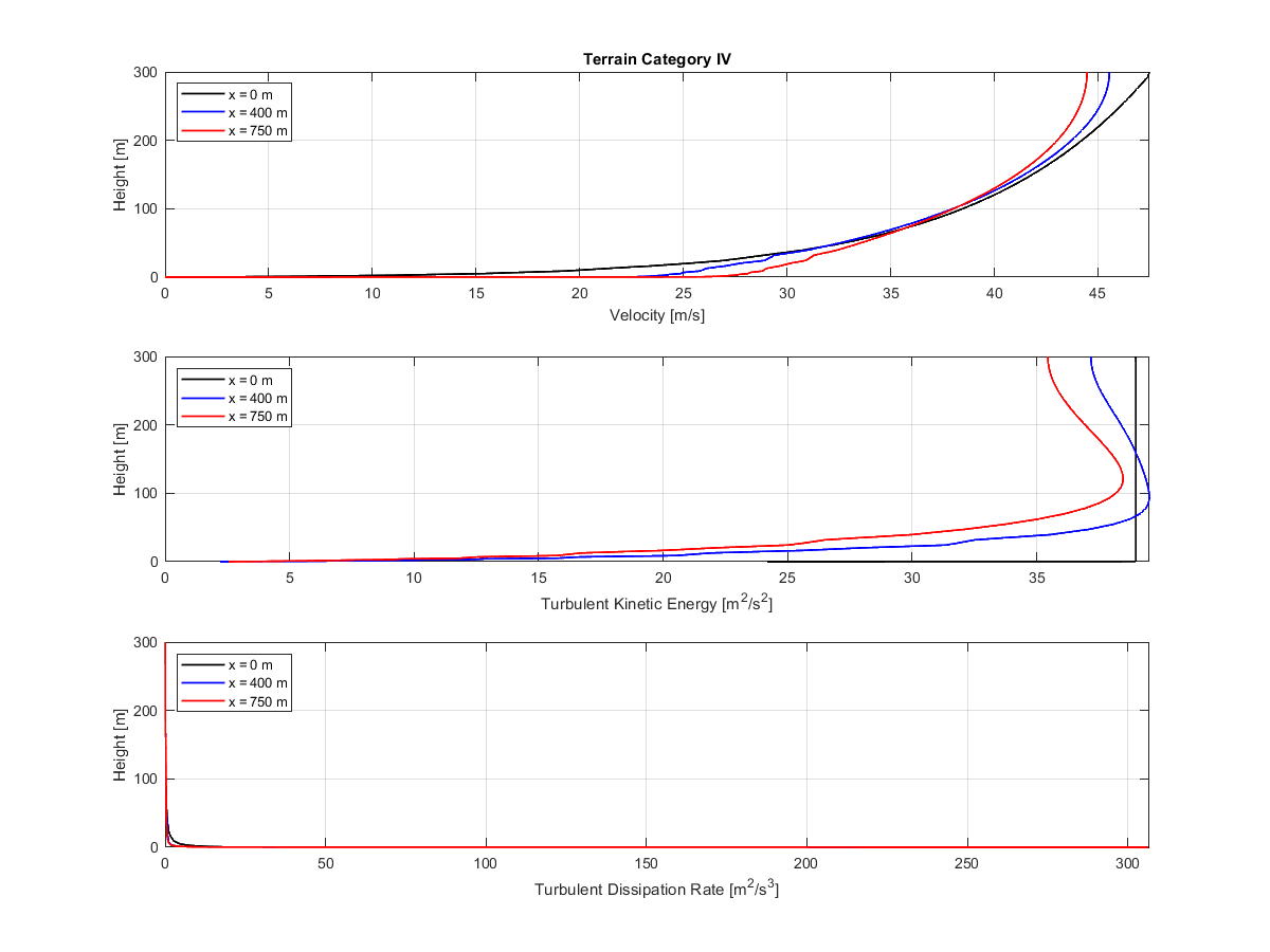
I seguenti grafici presentano lo sviluppo della velocità, energia cinetica turbolenta e tasso di dissipazione specifica in una galleria del vento vuota.
Categoria di terreno I
Categoria di terreno II
Categoria di terreno III
Categoria di terreno IV