Description du projet
Un porte-à-faux de profilé en I est supporté à l'extrémité gauche (x = 0) et est chargé par le moment de rotation M selon le schéma {%}#sketch ]] suivant. Le but de cet exemple est de comparer l'appui encastré avec l'appui latéral et torsionnel et d'analyser le comportement de certaines valeurs représentatives. La comparaison avec la solution à l'aide de plaques est également effectuée. L'exemple de vérification est basé sur l'exemple introduit par Gensichen et Lumpe (voir la référence). Les petites déformations sont considérées et le poids propre est négligé. Déterminer la rotation dans la moitié du porte-à-faux φx (L/2) et dans le cas de l'entité de barre avec un gauchissement, déterminer les valeurs du moment de torsion primaire MTpri, du moment de torsion secondaire MTsec et du moment de gauchissement Mω sur à l'extrémité gauche (point A) et à l'extrémité droite (point B). Le problème est décrit par les ensembles de paramètres suivants.
| Matériau | Acier | Module d'élasticité | E | 210000,000 | MPa |
| Module de cisaillement | G | 81000,000 | MPa | ||
| Géométrie | Porte-à-faux | Périmètre | L | 5,000 | m |
| Section | Hauteur | h | 400,000 | mm | |
| Largeur | b | 180,000 | mm | ||
| Épaisseur de l'âme | s | 10,000 | mm | ||
| Épaisseur de semelle | t | 14,000 | mm | ||
| Import | Moment | M : | 1,000 | kNm | |
Solution analytique
Lorsque l'on considère le calcul de barre avec gauchissement, le moment de torsion total MT est divisé entre le moment de torsion primaire MTpri et le moment de torsion secondaire MTsec.
L'équation peut être exprimée comme suit :
il s'agit de l'équation différentielle complète de la torsion. Ce problème peut être résolu par la méthode des paramètres initiaux et des résultats dans les équations pour la rotation φx, la torsion relative φ 'x et le moment de gauchissement Mω, le moment de torsion primaire MTpri et le moment de torsion secondaire MTsec.
Le gauchissement est contenu lorsque l'appui fixe est considéré. Les conditions aux limites dans ce cas sont : φ(0) = 0, φ ' (0) = 0, MT (0) = M, Mω ( L ) = 0.
Lorsque l'appui à fourche est considéré, le gauchissement est activé et les conditions aux limites sont suivantes : φ(0)=0, Mω (0) = 0, MT (0) = M, Mω (L) = 0.
Avec ces conditions aux limites, la rotation φ(x) se traduit par une formule bien connue.
Paramètres RFEM
- Modélisé dans RFEM 5.05 et RFEM 6.01
- La taille de l'élément est lEF = 0,025 m
- Le modèle de matériau isotrope linéaire élastique est utilisé
- La théorie de Kirchhoff est utilisée
- Le module complémentaire Flambement par flexion-torsion et vérification de l'acier est utilisé dans RFEM 6
Résultats
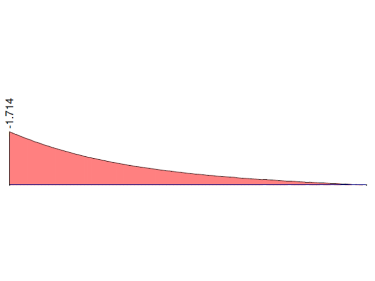
Les graphiques suivants présentent les comportements du moment de torsion total MT, du moment de torsion primaire MTpri, du moment de torsion secondaire MTsec et du moment de gauchissement Mω calculés dans RFEM 6 et RFEM 5, module RF-FE-LTB. lorsque l'appui encastré est considéré. Les valeurs aux deux extrémités du porte-à-faux sont comparées à la solution analytique et à la solution dans ANSYS 13.
| Point A (x=0) | Solution analytique | ANSYS 13 | Ratio | RFEM6 | Ratio | RFEM RF-FE-LTB (version anglaise) | Ratio |
| M :Tpri [kNm] | 0,000 | 0,008 | |||||
| 0,000 | |||||||
| 0,000 | |||||||
| M :Tsec [kNm] | 1,000 | 0,992 | 0,992 | 1,000 | 1,000 | 1,000 | 1,000 |
| Mω [kNm] | -1,714 | -1,683 | 0,989 | -1,743 | 1,017 | -1,714 | 1,000 |
| Point B (x=L) | Solution analytique | ANSYS 13 | Ratio | RFEM6 | Ratio | RFEM RF-FE-LTB (version anglaise) | Ratio |
| M :Tpri [kNm] | 0,890 | 0,893 | 1,003 | 0,869 | 0,976 | 0,890 | 1,000 |
| M :Tsec [kNm] | 0,110 | 0,107 | 0,973 | 0,131 | 1,191 | 0,110 | 1,000 |
| Mω [kNm] | 0,000 | 0,001 | |||||
| 0,000 | |||||||
| 0,000 |
La rotation calculée autour de l'axe x peut être comparée aux résultats lorsque l'appui à fourche est considéré et également avec des modèles de plaque, qui considèrent évidemment le gauchissement. La rotation à la moitié de la longueur φ (L/2) est utilisée en raison de la zone affectée à proximité du point de chargement dans le cas de modèles de plaque. La définition de l'appui à fourche dans le cas du modèle de plaque est compliquée car le moment de gauchissement doit être égal à zéro. Cette condition aux limites ne peut pas être définie directement dans RFEM 5/RFEM 6. L’approximation utilisée est affichée dans la {%}#fig figure]] suivante. La rotation autour de l'axe x est maintenue sur toutes les arêtes de l'appui. Seul le nœud central (sur l'axe) est entièrement encastré. Dans le cas d'un appui encastré, tous les bords de l'appui sont encastrés.
| maintien | Solution analytique | ANSYS 13 | RFEM 6 (barre) | RFEM 6 (plaque) | |||
| φx (L/2) [mrad] | φx (L/2) [mrad] | Rapport [-] | φx (L/2) [mrad] | Rapport [-] | φx (L/2) [mrad] | Rapport [-] | |
| Encastrement | 32,6 | 32,2 | 0,988 | 32,4 | 0,994 | 32,7 | 1,003 |
| Appui de fourche | 69,9 | 68,5 | 0,979 | 69,9 | 1,000 | 68,8 | 0,999 |
| maintien | Solution analytique | ANSYS 13 | RFEM 5, RF-FE-LTB (barre) | RFEM 5 (plaque) | |||
| φx (L/2) [mrad] | φx (L/2) [mrad] | Rapport [-] | φx (L/2) [mrad] | Rapport [-] | φx (L/2) [mrad] | Rapport [-] | |
| Encastrement | 32,6 | 32,2 | 0,988 | 32,6 | 1,000 | 32.5 | 0,974 |
| Appui de fourche | 69,9 | 68,5 | 0,979 | 69,9 | 1,000 | 68.1 | 0,974 |
Remarque 1 : La solution avec les modèles de plaque est utilisée pour démontrer l'effet de gauchissement. L'erreur relative est également causée par l'approximation de l'appui de la fourche.
Remarque 2 : Le calcul numérique dans ANSYS 13 a été effectué par la société Designtec sroLes quantités MTpri et $ MTsec ne sont pas les résultats d'origine d'ANSYS 13. Elles sont calculées à partir du moment de gauchissement Mω. Elles ne doivent donc pas être considérées comme des valeurs tout à fait exactes. Les éléments BEAM188 sont utilisés dans ANSYS 13.