User Story
En este ejemplo, vamos a calcular presiones locales, presiones promediadas y estudios de parámetros para el diseño preliminar con métodos más precisos, como URANS transitorio.
Este ejemplo pertenece al Grupo 2, según la Figura 2.2 en el WTG-Merkblatt-M3:
- G2: Valores absolutos con requisitos de precisión media. El área de aplicación puede incluir parámetros o estudios preliminares cuando se planean investigaciones posteriores con mayor precisión (por ejemplo, examen en túnel de viento de clase G3).
- R2: Solitario, todas las direcciones de viento relevantes con resolución de dirección suficientemente fina.
- Z2: Valores medios estadísticos y desviaciones estándar, siempre que impliquen procesos de flujo estacionario, para los cuales es suficiente una verificación estadística de las fluctuaciones con un factor de pico.
- S1: Efectos estáticos. Son suficientes para representar el modelo estructural con el detalle mecánico necesario, pero sin propiedades de masa y amortiguación.
Las dimensiones del ejemplo se muestran en la Figura 1, y la suposición de entrada se ilustra en la Tabla 1:
Tabla 1: Datos de Entrada del Ejemplo de Cubo 3D
| Parámetro | Símbolo | Valor | Unidad |
|---|---|---|---|
| Velocidad Básica del Viento | V | 10.13 | m/s |
| Altura del Techo | h | 6 | m |
| Dimensión Horizontal | α | 6 | m |
| Ángulo del Techo | θroof | 0 | Grado |
| Densidad del Aire – RWIND | ρ | 1.25 | kg/m³ |
| Direcciones del Viento | θwind | 0 | Grado |
| Modelo de Turbulencia – RWIND | RANS & URANS | - | - |
| Viscosidad Cinética (Ecuación 7:15, EN 1991-1-4) – RWIND | ν | 1.5×10⁻⁵ | m²/s |
| Orden del Esquema – RWIND | Primero y Segundo | - | - |
| Valor Objetivo del Residual – RWIND | 10⁻⁴ | - | - |
| Tipo de Residual – RWIND | Presión | - | - |
| Número Mínimo de Iteraciones – RWIND | 800 | - | - |
| Capa Límite– RWIND | NL | 10 | - |
| Tipo de Función de Pared – RWIND | Mejorada / Combinada | - | - |
Análisis de Sensibilidad
Para el ejemplo actual, el análisis de sensibilidad se muestra según la Figura 2. Los resultados de las fuerzas de arrastre totales se investigan para cuatro números de malla diferentes. La independencia de la malla se obtiene con 1.6 millones de células (Malla #4).
El WTG-Merkblatt M3 proporciona dos métodos clave para validar los resultados de la simulación. El Método de Tasa de Acierto evalúa cuántos de los valores simulados Pi coinciden correctamente con los valores de referencia Oi dentro de una tolerancia definida, utilizando un enfoque de clasificación binaria (acierto o fallo). Este enfoque evalúa la fiabilidad de la simulación calculando una tasa de acierto q, similar a las funciones de confianza utilizadas en la teoría de fiabilidad. En contraste, el método de Error Cuadrático Medio Normalizado (e2) ofrece una evaluación de precisión más detallada cuantificando la desviación media cuadrática entre los valores simulados y de referencia, normalizada para tener en cuenta las diferencias de escala. Juntos, estos métodos proporcionan medidas tanto cualitativas como cuantitativas para la validación de simulaciones.
Resultados
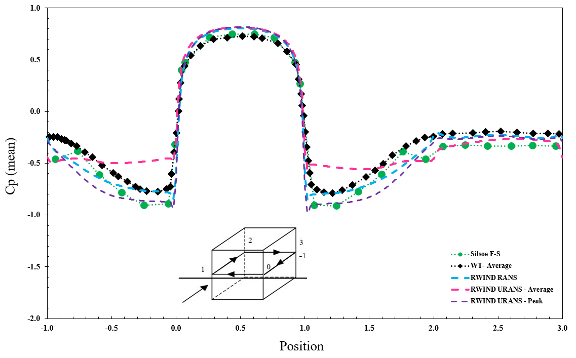
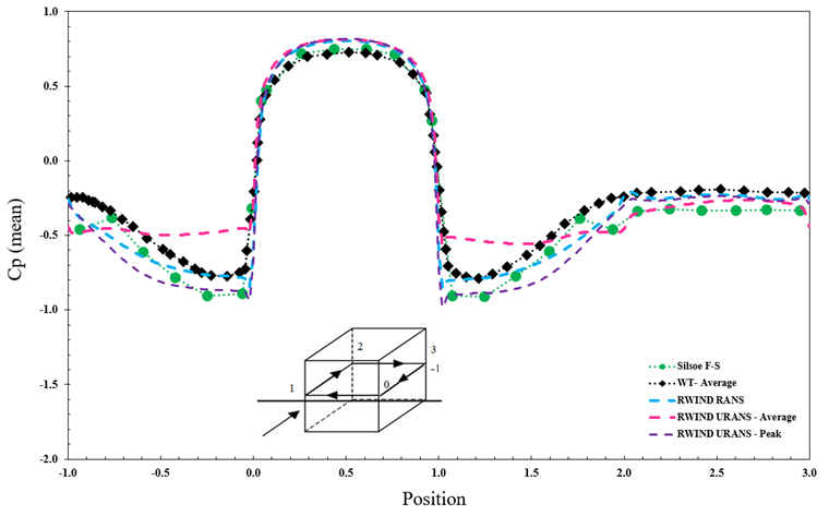
El diagrama en la Figura 3 presenta la distribución del Coeficiente de Presión (Cp) medio y pico a lo largo de una posición especificada en una estructura, comparando resultados experimentales con simulaciones numéricas utilizando varios modelos computacionales. Los datos experimentales incluyen mediciones del estudio de campo Silsoe F-S y pruebas en túnel de viento (WT), mientras que las simulaciones se realizan usando los modelos RWIND RANS y RWIND URANS. El modelo URANS se divide aún más en valores medios y picos para analizar de manera exhaustiva el comportamiento de la presión aerodinámica.
La comparación en la Figura 4 tiene como objetivo evaluar la precisión de los modelos de simulación RWIND en la replicación de resultados experimentales. Se presentan métricas estadísticas clave, como el Coeficiente de Correlación (R) y el Coeficiente de Determinación (R²), para cuantificar la concordancia entre los datos simulados y experimentales, ofreciendo perspectivas sobre la fiabilidad de estos modelos para el análisis aerodinámico. La línea de referencia diagonal representa una coincidencia perfecta entre los resultados de simulación y experimentales, y la proximidad de los puntos de datos a esta línea refleja la precisión de cada modelo. La diferencia entre RWIND y el Eurocódigo es de aproximadamente Wrel,RANS = 11.54% y Wrel,URANS = 21.46%; entonces la tasa de acierto se puede obtener como qRANS=59% y qURANS,10%=30% y qURANS,20%=63%. El error cuadrático medio normalizado se calcula respectivamente; e2RANS=0.02 y e2URANS=0.04.
El modelo está disponible para descarga gratuita aquí: