User Story
In diesem Beispiel berechnen wir die lokalen und gemittelten Drücke sowie die Parameterstudien für den vorläufigen Entwurf mit den präziseren Methoden wie dem transienten URANS.
Dieses Beispiel gehört gemäß Abbildung 2.2 im WTG-Merkblatt M3 zur Gruppe 2:
- G2: Absolute Werte mit mittleren Genauigkeitsanforderungen. Der Anwendungsbereich kann Parameter oder Vorstudien umfassen, sofern später Untersuchungen mit höherer Genauigkeit, wie beispielsweise eine Windkanaluntersuchung der Klasse G3, geplant sind.
- R2: Alle relevanten Windrichtungen einzeln mit ausreichend feiner Richtungsauflösung.
- Z2: Statistische Mittelwerte und Standardabweichungen sind ausreichend, sofern es sich um stationäre Strömungsprozesse handelt, bei denen eine statistische Überprüfung von Schwankungen mit Spitzenfaktor ausreicht.
- S1: Statische Effekte. Diese reichen aus, um das Strukturmodell mit allen notwendigen mechanischen Details darzustellen – allerdings ohne Masse- und Dämpfungseigenschaften.
Die Abmessungen des Beispiels sind in Bild 1 dargestellt, die Eingangsannahme in Tabelle 1:
Tabelle 1: Eingangsdaten des 3D-Würfelbeispiels
| Parameter | Symbol | Wert | Einheit |
|---|---|---|---|
| Basiswindgeschwindigkeit | V | 10,13 | m/s |
| Dachhöhe | h | 6 | m |
| Horizontale Dimension | α | 6 | m |
| Dachwinkel | θroof | 0 | Grad |
| Luftdichte – RWIND | ρ | 1,25 | kg/m³ |
| Windrichtungen | θwind | 0 | Grad |
| Turbulenzmodell – RWIND | RANS & URANS | - | - |
| Kinematische Viskosität (Gleichung 7:15, EN 1991-1-4) – RWIND | ν | 1,5×10⁻⁵ | m²/s |
| Ordnungschema – RWIND | Erste und Zweite | - | - |
| Restzielwert – RWIND | 10⁻⁴ | - | - |
| Resttyp – RWIND | Druck | - | - |
| Minimale Anzahl von Iterationen – RWIND | 800 | - | - |
| Grenzschicht – RWIND | NL | 10 | - |
| Typ der Wandfunktion – RWIND | Erweitert / Gemischt | - | - |
Sensitivitätsanalyse
Für das vorliegende Beispiel wurde eine Sensitivitätsanalyse gemäß Bild 2 durchgeführt. Die Ergebnisse der Gesamtwiderstandskräfte wurden für vier verschiedene Netzzahlen untersucht. Die Netzunabhängigkeit wird bei 1,6 Millionen Zellen (Netz #4) erreicht.
Das WTG-Merkblatt M3 bietet zwei zentrale Methoden zur Validierung von Simulationsergebnissen. Die Trefferquote-Methode bewertet, wie viele der simulierten Werte Pi innerhalb eines definierten Toleranzbereichs korrekt mit den Referenzwerten Oi übereinstimmen, indem ein binärer Klassifizierungsansatz (Treffer oder Fehlschlag) verwendet wird. Dieser Ansatz beurteilt die Zuverlässigkeit der Simulation durch Berechnung einer Trefferquote q, ähnlich den Konfidenzfunktionen, die in der Zuverlässigkeitstheorie verwendet werden. Im Gegensatz dazu bietet die „Normierte mittlere quadratische Abweichung” (e2) eine detailliertere Genauigkeitsbewertung. Sie quantifiziert die durchschnittliche quadratische Abweichung zwischen simulierten und Referenzwerten und berücksichtigt dabei Skalierungsunterschiede. Zusammen bieten diese Methoden sowohl qualitative als auch quantitative Maße für die Validierung von Simulationen.
Ergebnisse
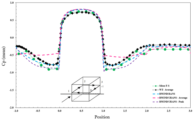
Bild 3 zeigt das Diagramm der mittleren und maximalen Verteilung des Druckbeiwertes (C_p) entlang einer bestimmten Position auf einer Struktur. Es vergleicht experimentelle Ergebnisse mit numerischen Simulationen, die mit verschiedenen Rechenmodellen durchgeführt wurden. Die experimentellen Daten umfassen Messungen aus der Silsoe-FS-Feldstudie und aus Windkanaltests (WT), während die Simulationen mit den Modellen RWIND RANS und RWIND URANS durchgeführt wurden. Das URANS-Modell wird zusätzlich in Durchschnitts- und Spitzenwerte unterteilt, um das aerodynamische Druckverhalten umfassend zu analysieren.
In Bild 4 werden die RWIND-Simulationsmodelle miteinander verglichen, um ihre Genauigkeit bei der Replikation experimenteller Ergebnisse zu bewerten. Dazu werden wichtige statistische Metriken wie der Korrelationskoeffizient (R) und der Bestimmungsfaktor (R²) vorgestellt. Mithilfe dieser Metriken kann die Übereinstimmung zwischen simulierten und experimentellen Daten quantifiziert werden. Somit können auch Rückschlüsse auf die Zuverlässigkeit dieser Modelle für die aerodynamische Analyse gezogen werden. Die diagonale Referenzlinie stellt eine perfekte Übereinstimmung zwischen Simulations- und Versuchsergebnissen dar. Die Nähe der Datenpunkte zu dieser Linie spiegelt die Genauigkeit jedes Modells wider. Der Unterschied zwischen RWIND und dem Eurocode beträgt etwa Wrel,RANS = 11,54% und Wrel,URANS = 21,46%; dann kann die Trefferquote ermittelt werden als qRANS=59% und qURANS,10%=30% und qURANS,20%=63%. Der normierte mittlere quadratische Fehler wird entsprechend berechnet; e2RANS=0,02 und e2URANS=0,04.
Das Modell steht hier kostenlos zum Download bereit: