Uživatelský příběh
V tomto příkladu budeme provádět výpočet lokálních tlaků, průměrných tlaků a studii parametrů pro předběžný návrh pomocí přesnějších metod, jako je například přechodný URANS.
Tento příklad patří do skupiny 2 podle obrázku 2.2 v WTG-Merkblatt-M3:
- ‚‘'G2:‚‘' Absolutní hodnoty se středními požadavky na přesnost. Oblast použití může zahrnovat parametry nebo předběžné studie, pokud jsou plánována pozdější vyšetření s vyšší přesností (např. zkouška v větrném tunelu třídy G3).
- ‚‘'R2:‚‘' Samostatné, všechny relevantní směry větru s dostatečně jemným směrovým rozlišením.
- ‚‘'Z2:‚‘' Statistické střední hodnoty a směrodatné odchylky, pokud se jedná o stacionární proudění, pro které je dostatečná statistická verifikace fluktuací s faktorem špičky.
- ‚‘'S1:‚‘' Statické účinky. Jsou dostatečné k reprezentaci modelu konstrukce s nezbytnými mechanickými detaily, ale bez vlastností hmotnosti a tlumení.
Kóty příkladu jsou uvedeny na obrázku 1 a vstupní předpoklady jsou znázorněny v tabulce 1:
Tabulka 1: Vstupní data příkladu 3D krychle
| Parametr | Symbol | Hodnota | Jednotka |
|---|---|---|---|
| Základní rychlost větru | V | 10,13 | m/s |
| Výška střechy | h | 6 | m |
| Horizontální kóta | α | 6 | m |
| Úhel střechy | θroof | 0 | stupňů |
| Hustota vzduchu – RWIND | ρ | 1,25 | kg/m³ |
| Směry větru | θwind | 0 | stupňů |
| Model turbulence – RWIND | RANS & URANS | - | - |
| Kinematická viskozita (rovnice 7:15, EN 1991-1-4) – RWIND | ν | 1,5×10⁻⁵ | m²/s |
| řád schématu – RWIND | První a druhé | - | - |
| cílové reziduum – RWIND | 10⁻⁴ | - | - |
| typ rezidua – RWIND | Tlak | - | - |
| Minimální počet iterací – RWIND | 800 | - | - |
| Mezní vrstva – RWIND | NL | 10 | - |
| Typ stěny – RWIND | Vylepšená / Smíšená | - | - |
Analýza citlivosti
Pro aktuální příklad je analýza citlivosti znázorněna podle obrázku 2. Výsledky celkových odporových sil jsou zkoumány pro čtyři různá čísla sítě. Nezávislost sítě je dosažena při 1,6 milionu buněk (síť č. 4).
WTG-Merkblatt M3 poskytuje dvě klíčové metody pro ověření výsledků simulace. Metoda „Hit Rate“ hodnotí, kolik simulovaných hodnot Pi správně odpovídá referenčním hodnotám Oi v rámci definované tolerance, a to pomocí binární klasifikace (trefa nebo minula). Tento přístup hodnotí spolehlivost simulace výpočtem míry úspěšnosti q, podobně jako funkce spolehlivosti používané v teorii spolehlivosti. Naproti tomu metoda „normalizované střední kvadratické chyby“ (e2) nabízí podrobnější hodnocení přesnosti kvantifikací průměrné kvadratické odchylky mezi simulovanými a referenčními hodnotami, normalizované tak, aby zohledňovala rozdíly v měřítku. Společně tyto metody poskytují jak kvalitativní, tak kvantitativní měřítka pro ověření simulace.
Výsledky
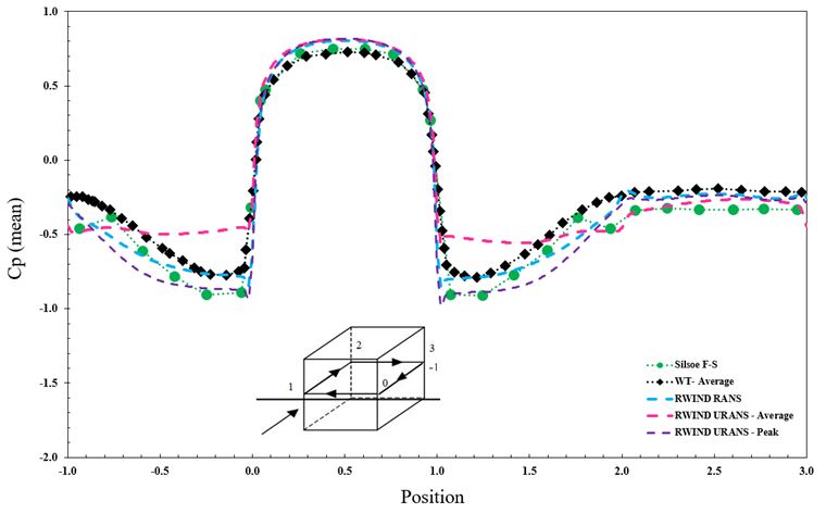
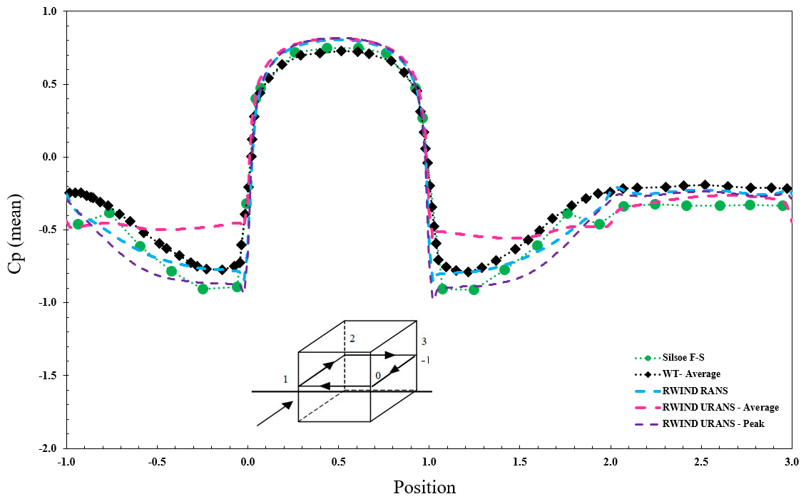
Diagram na obrázku 3 představuje rozložení středního a špičkového součinitele tlaku (Cp) podél určité pozice na konstrukci a porovnává experimentální výsledky s numerickými simulacemi pomocí různých modelů. Experimentální data zahrnují měření z terénní studie Silsoe F-S a testů v větrném tunelu (WT), zatímco simulace jsou prováděny pomocí modelů RWIND RANS a RWIND URANS. Model URANS je dále rozdělen na průměrné a špičkové hodnoty, aby bylo možné komplexně analyzovat chování aerodynamického tlaku.
Porovnání na obrázku 4 má za cíl vyhodnotit přesnost simulací RWIND při replikaci experimentálních výsledků. K kvantifikaci shody mezi simulovanými a experimentálními daty jsou uvedeny klíčové statistické metriky, jako je korelační koeficient (R) a koeficient determinace (R²), které poskytují informace o spolehlivosti těchto modelů pro aerodynamickou analýzu. Diagonální referenční čára představuje dokonalou shodu mezi simulacemi a experimentálními výsledky a blízkost datových bodů k této čáře odráží přesnost každého modelu. Rozdíl mezi RWIND a Eurokódem je přibližně ‚‘' Wrel,RANS = 11,54 %‚‘' a ‚‘'Wrel,URANS = 21,46 %‚‘'; pak lze získat míru úspěšnosti jako ‚‘'qRANS=59 %‚‘' a ‚‘'qURANS,10 %=30 %‚‘' a ‚‘'qURANS,20 %=63 %‚‘'. Normalizovaná střední kvadratická chyba se vypočítá jako ‚‘'e2RANS=0,02'‚‘ a ‚‘'e2URANS=0,04'‚‘.
Model je k dispozici ke stažení zdarma zde: