User Story
In this example, we are going to calculate local pressures, averaged pressures, and parameter studies for preliminary design with more precise methods, such as transient URANS.
This example belongs to Group 2, according to Figure 2.2 in WTG-Merkblatt-M3:
- G2: Absolute values with medium accuracy requirements. The area of application can include parameters or preliminary studies when later investigations with higher accuracy are planned (e.g., wind tunnel examination of class G3).
- R2: Solitary, all relevant wind directions with sufficiently fine directional resolution.
- Z2: Statistical mean values and standard deviations, provided they involve stationary flow processes, for which a statistical verification of fluctuations with a peak factor is sufficient.
- S1: Static effects. They are sufficient to represent the structural model with the necessary mechanical detail, but without mass and damping properties.
The dimensions of the example are shown in Figure 1, and the input assumption is illustrated in Table 1:
Table 1: Input Data of the 3D Cube Example
| Parameter | Symbol | Value | Unit |
|---|---|---|---|
| Basic Wind Velocity | V | 10.13 | m/s |
| Roof Height | h | 6 | m |
| Horizontal Dimension | α | 6 | m |
| Roof Angle | θroof | 0 | Degree |
| Air Density – RWIND | ρ | 1.25 | kg/m³ |
| Wind Directions | θwind | 0 | Degree |
| Turbulence Model – RWIND | RANS & URANS | - | - |
| Kinematic Viscosity (Equation 7:15, EN 1991-1-4) – RWIND | ν | 1.5×10⁻⁵ | m²/s |
| Scheme Order – RWIND | First and Second | - | - |
| Residual Target Value – RWIND | 10⁻⁴ | - | - |
| Residual Type – RWIND | Pressure | - | - |
| Minimum Number of Iterations – RWIND | 800 | - | - |
| Boundary Layer – RWIND | NL | 10 | - |
| Type of Wall Function – RWIND | Enhanced / Blended | - | - |
Sensitivity Analysis
For the current example, the sensitivity analysis is shown according to Figure 2. The results of the total drag forces are investigated for four different mesh numbers. The mesh independency is obtained at 1.6 million cells (Mesh #4).
The WTG-Merkblatt M3 provides two key methods for validating simulation results. The Hit Rate Method evaluates how many of the simulated values Pi correctly match the reference values Oi within a defined tolerance, using a binary classification approach (hit or miss). This approach assesses the reliability of the simulation by calculating a hit rate q, similar to confidence functions used in reliability theory. In contrast, the Normalized Mean Squared Error (e2) method offers a more detailed accuracy assessment by quantifying the average squared deviation between simulated and reference values, normalized to account for scale differences. Together, these methods provide both qualitative and quantitative measures for simulation validation.
Results
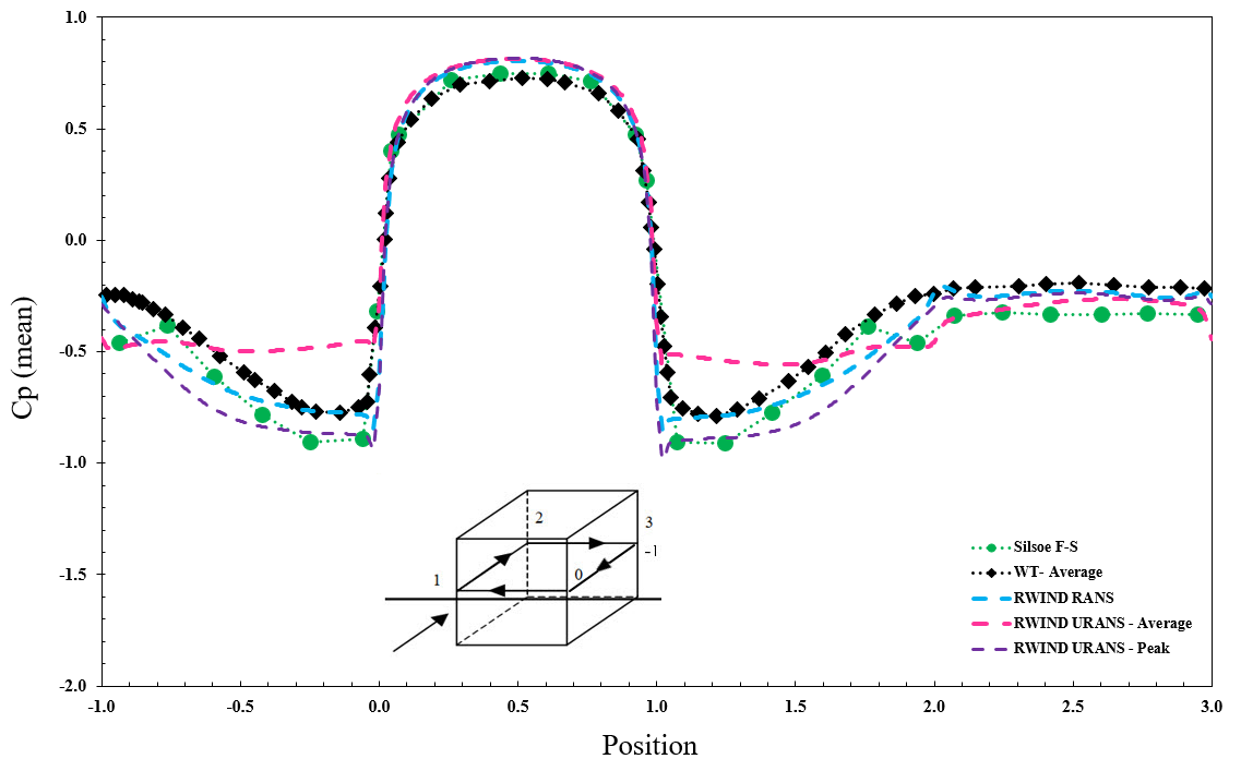
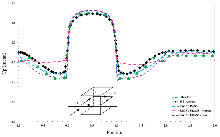
The diagram in Figure 3 presents the mean and peak Pressure Coefficient (Cp) distribution along a specified position on a structure, comparing experimental results with numerical simulations using various computational models. The experimental data include measurements from the Silsoe F-S field study and wind tunnel (WT) tests, while the simulations are conducted using the RWIND RANS and RWIND URANS models. The URANS model is further divided into average and peak values to analyze aerodynamic pressure behavior comprehensively.
The comparison in Figure 4 aims to evaluate the accuracy of the RWIND simulation models in replicating experimental results. Key statistical metrics, such as the Correlation Coefficient (R) and the Coefficient of Determination (R²), are presented to quantify the agreement between simulated and experimental data, offering insights into the reliability of these models for aerodynamic analysis. The diagonal reference line represents a perfect match between simulation and experimental results, and the proximity of the data points to this line reflects the accuracy of each model. The difference between RWIND and the Eurocode is about Wrel,RANS = 11.54% and Wrel,URANS = 21.46%; then the hit rate can be obtained as qRANS=59% and qURANS,10%=30% and qURANS,20%=63%. The normalized mean square error is calculated respectively; e2RANS=0.02 and e2URANS=0.04.
The model is available for free download here: