410x
005741
2024-07-11

大偏心荷载作用下零应力区面积验算

根据 DIN EN 1997-1 的高度不利的核心荷载设计[1] A 6.6.5最不利荷载组合 。 需要注意的是,合力的偏心距不超过允许的极限值。

标记 1 : 第一个的限制 在该节点中勾选核心宽度的菱形标记为核心宽度。

标记 2 : 的局限性 椭圆表示腹板宽度。

标记 3 : 合力的作用点是整个合成荷载作用在基础上的点。

永久作用

在非粘性和粘性地基上的基础,不允许在基础中出现由于典型的永久作用而产生的接缝。 这可以通过将土压力合力放在 1 内来确保。 型心宽度。 然而,第一个 核心宽度限制了菱形表面上允许的双向轴偏心距。

需检查的工况如下:

条件推导
该条件是根据次数方程得出的以下不等式得出的:

必须输入绝对值才能使不等式适用于所有象限并且完全覆盖菱形边界。

下图显示了推导的各步骤:

永久和可变作用的最不利组合

永久和可变标准作用下的合力的偏心距可以至多使得地基底部继续受压直到其重心。 这意味着 2. 注意线宽。 它被椭圆限制。

需检查的工况如下:

条件推导
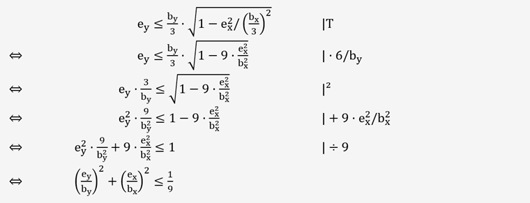
该条件由以下不等式得出:

这个椭圆方程的圆心为(0|0) 以及直径 2 ⋅ wy/3 和
2 ⋅ wx/3rd

下图显示了推导的各步骤:


参考