410x
005741
11.7.2024

Pootočení základové patky

Při posouzení velmi nepříznivého zatížení jádra podle DIN EN 1997-1[1] A 6.6.5 se ověřuje, zda v důsledku stálých účinků a nejnepříznivější kombinace zatížení. Přitom je třeba zajistit, aby excentricita výslednice tlaku v základové spáře nepřekročila přípustné mezní hodnoty.

Označení 1 : Omezení prvního Šířka jádra je znázorněna kosodélníkem.

Označení 2 : Omezení druhého Šířka jádra je znázorněna elipsou.

Označení 3 : Výsledný' působiště je bod, ve kterém celé výsledné zatížení působí na základovou patku.

Stálé účinky

U základů na nesoudržných a soudržných podložích nesmí v důsledku charakteristických stálých zatížení vzniknout žádná spára v základu. To je zajištěno umístěním výslednice tlaku v základové spáře do 1. Šířka jádra. První Šířka jádra omezuje přípustnou dvouosou excentricitu uvnitř kosočtvercové plochy.

Podmínka pro kontrolu je následující:

Odvození podmínky
Podmínka je odvozena z následující nerovnosti plynoucí ze stupňové rovnice:

Absolutní hodnoty jsou nutné k tomu, aby tato nerovnost platila pro všechny kvadranty a aby byla hranice ve tvaru kosočtverce zcela pokryta.

Jednotlivé kroky odvození jsou znázorněny na následujícím obrázku:

Nejnepříznivější kombinace stálých a proměnných účinků

Excentricita výslednice tlaku v základové spáře při stálých a proměnných charakteristických zatíženích může být nanejvýš tak velká, že základová patka je až do svého těžiště namáhána tlakem. To znamená, že 2. šířka jádra. Je ohraničen elipsou.

Podmínka pro kontrolu je následující:

Odvození podmínky
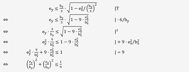
Podmínka je odvozena z následující nerovnosti:

Toto je eliptická rovnice se středem (0|0) a průměry 2 ⋅ wy/3 a
2 ⋅ šx/3

Jednotlivé kroky odvození jsou znázorněny na následujícím obrázku:


Reference