Dimensionamento de carga de núcleo altamente desfavorável de acordo com a DIN EN 1997-1{%>#Refer [1]]] A 6.6.5 verifica se existe uma ligação de espaçamento para além do centro de gravidade da base da fundação devido às ações permanentes e às combinação de cargas mais desfavorável. É assegurado que a excentricidade da resultante das pressões do solo não excede os valores limite permitidos.
Marcação 1 : A limitação da primeira A largura do núcleo é representada por um losango.
Marcação 2 : A limitação da segunda A largura do núcleo é representada por elipse.
Nota 3 : O ponto de aplicação resultante' é o ponto no qual toda a carga resultante atua sobre a base da fundação.
Ações permanentes
No caso de fundações em solos não coesivos e coesivos, não pode ocorrer nenhuma ligação de espaçamento na base da fundação como resultado de ações características permanentes. Isto é assegurado através da resultante da pressão do solo em 1. Largura do núcleo. No entanto, o primeiro A largura do núcleo limita a excentricidade biaxial permitida dentro de uma superfície rômbica.
A condição a ser verificada é a seguinte:
Derivação da condição
Die Bedingung wird aus der folgenden Ungleichung resultierend aus einer Gradengleichung hergeleitet:
Os valores absolutos são necessários para que esta equação se aplique a todos os quadrantes e para que a borda em forma de losango seja completamente coberta.
Os passos individuais da derivação são apresentados na seguinte figura:
Combinação mais desfavorável de ações permanentes e variáveis
A excentricidade das resultantes de pressão do solo sob as acções características permanentes e variáveis pode no máximo ser tão grande que a base da fundação continue a ser sujeita a compressão até ao seu centro de gravidade. Isso significa que a 2. largura do núcleo tem de ser cumprido. É limitado por uma elipse.
A condição a ser verificada é a seguinte:
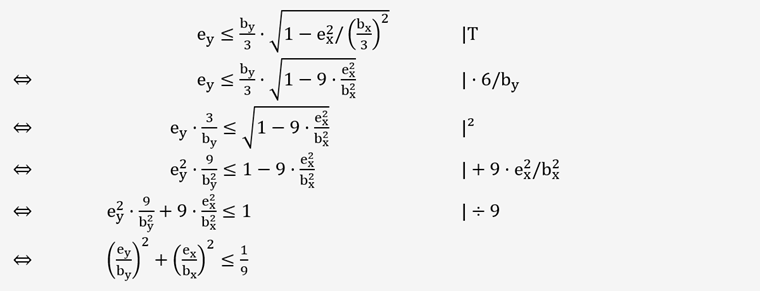
Derivação da condição
A condição é derivada da seguinte equação:
Esta é a equação elíptica com o centro (0|0) e os diâmetros 2 ⋅ wy/3 e
2 ⋅ wx/3º
Os passos individuais da derivação são apresentados na seguinte figura: