410x
005741
2024-07-11

Obciąż. na dużym mimośrodzie rdzenia

Przy obliczaniu wysoce niekorzystnego obciążenia rdzenia zgodnie z DIN EN 1997-1[1] A 6.6.5 sprawdza się, czy spoina znajduje się poza środkiem ciężkości podstawy fundamentu z powodu oddziaływań stałych i najbardziej niekorzystną kombinację obciążeń. Dzięki temu mimośród wypadkowej parcia gruntu nie przekracza dopuszczalnych wartości granicznych.

Znak 1 : Ograniczenie pierwszego Szerokość rdzenia jest reprezentowana przez romb.

Znak 2 : Ograniczenie drugiego Szerokość rdzenia jest reprezentowana przez elipsę.

Znak 3 : Punkt przyłożenia wypadkowego's jest punktem, w którym na podstawę fundamentu działa całe obciążenie wynikowe.

Oddziaływania stałe

W przypadku fundamentów na gruntach niespoistych i spoistych, w wyniku charakterystycznych oddziaływań stałych nie może powstać rozwarcie spoiny w podstawie fundamentu. Jest to zapewnione przez umieszczenie wypadkowej parcia gruntu w obrębie 1. szerokość rdzenia. Jednak pierwsza Szerokość rdzenia ogranicza dopuszczalny dwukierunkowy mimośród w obrębie powierzchni rombowej.

Warunek, który należy sprawdzić, jest następujący:

Wyprowadzenie warunku
Warunek wywodzi się z następującej nierówności wynikającej z równania stopni:

Wartości bezwzględne są konieczne, aby nierówność ta została zastosowana do wszystkich kwadrantów i aby granica w kształcie rombu została całkowicie pokryta.

Poszczególne kroki wyprowadzania pokazano na poniższym rysunku:

Najbardziej niekorzystna kombinacja oddziaływań stałych i zmiennych

Mimośród wypadkowych parcia gruntu pod wpływem stałych i zmiennych oddziaływań charakterystycznych może być co najwyżej tak duży, że podstawa fundamentu jest nadal poddawana ściskaniu aż do punktu ciężkości. Oznacza to, że 2. szerokość rdzenia. Jest on ograniczony elipsą.

Warunek, który należy sprawdzić, jest następujący:

Wyprowadzenie warunku
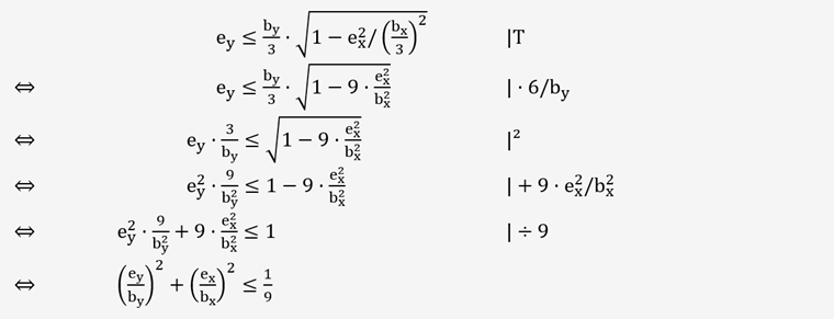
Warunek jest wyprowadzany z następującej nierówności:

Jest to równanie eliptyczne ze środkiem (0|0) oraz średnice 2 ⋅ wy/3 oraz
2 ⋅ wx/3

Poszczególne kroki wyprowadzania pokazano na poniższym rysunku:


Odniesienia