410x
005741
2024-07-11

Поворот фундамента

При расчете крайне неблагоприятной нагрузки ядра по норме DIN EN 1997-1{%><#Refer [1]]] A 6.6.5 проверяет, не возникает ли из-за постоянных воздействий и наиболее неблагоприятное сочетание нагрузок. При этом гарантируется, что эксцентриситет результирующей давления грунта не превышает допустимых предельных значений.

Отметка 1: Ограничение первой Ширина ядра представлена ромбом.

Отметка 2: Ограничение второе Ширина ядра представлена эллипсом.

Отметка 3: Результирующая точка приложения ' - это точка, в которой вся результирующая нагрузка действует на подошву фундамента.

Постоянные воздействия

У фундаментов на связных и несвязных грунтах в основании фундамента не должны возникать щелевые швы в результате характерных постоянных воздействий. Это обеспечивается путем размещения результирующего давления грунта в пределах 1. Ширина ядра. Тем не менее первое Ширина ядра ограничивает допустимый двухосный эксцентриситет в пределах ромбической поверхности.

Необходимо проверить следующее условие:

Вывод условия
Условие выводится из следующего неравенства, вытекающего из уравнения степени:

Абсолютные значения необходимы для применения данного неравенства ко всем квадрантам и для полного покрытия ромбовидной границы.

Отдельные шаги деривации показаны на следующем рисунке:

Наиболее неблагоприятное сочетание постоянных и переменных воздействий

Эксцентриситет результирующих давления грунта при постоянных и переменных характеристических воздействиях может быть, в лучшем случае, настолько большим, что подошва фундамента продолжает подвергаться сжатию до своего центра тяжести. Это означает, что файл {}2. должна соблюдаться ширина ядра. Он ограничен эллипсом.

Необходимо проверить следующее условие:

Вывод условия
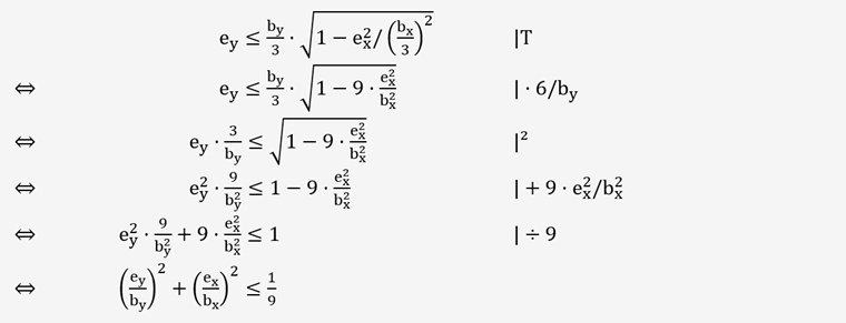
Условие выводится из следующего неравенства:

Это эллиптическое уравнение с центром (0|0), диаметры 2 ⋅ wy/3 и
2 ⋅ wx/3-я

Отдельные шаги деривации показаны на следующем рисунке:


Ссылки