410x
005741
2024-07-11

Carico fortem. eccentrico nel nucleo

La verifica di un carico del nucleo altamente sfavorevole secondo DIN EN 1997-1[1] A 6.6.5 verifica se si verifica un giunto gaping oltre il baricentro della base della fondazione a causa di azioni permanenti e del combinazione di carico più sfavorevole. Si garantisce che l'eccentricità della risultante della pressione del terreno non superi i valori limite ammissibili.

Voto 1 : La limitazione del primo La larghezza del nucleo è rappresentata da un rombo.

Mark 2 : La limitazione del secondo La larghezza del nucleo è rappresentata dall'ellisse.

Voto 3 : Il punto di applicazione risultante's è il punto in cui l'intero carico risultante agisce sulla base della fondazione.

Carichi permanenti

Nel caso di fondazioni su terreni non coesivi e coesivi, non possono sorgere giunti nella base della fondazione a causa delle azioni permanenti caratteristiche. Ciò è garantito posizionando la risultante della pressione del terreno all'interno di 1. Larghezza del nucleo. Tuttavia, il primo La larghezza del nucleo limita l'eccentricità biassiale ammissibile all'interno di una superficie rombica.

La condizione da verificare è la seguente:

Derivazione della condizione
La condizione è derivata dalla seguente disuguaglianza risultante da un'equazione dei gradi:

I valori assoluti sono necessari affinché questa disuguaglianza si applichi a tutti i quadranti e affinché il contorno a forma di diamante sia completamente coperto.

I singoli passi della derivazione sono mostrati nella figura seguente:

Combinazione più sfavorevole di azioni permanenti e variabili

L'eccentricità delle risultanti della pressione del terreno sotto azioni caratteristiche permanenti e variabili può al massimo essere così grande che la base della fondazione continua ad essere soggetta a compressione fino al suo baricentro. Ciò significa che 2. deve essere rispettata la larghezza del nucleo. È limitato da un'ellisse.

La condizione da verificare è la seguente:

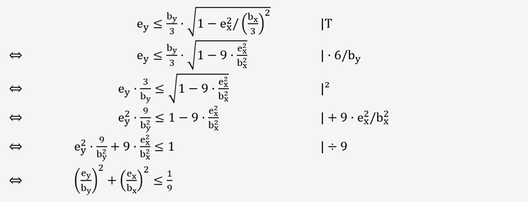
Derivazione della condizione
La condizione è derivata dalla seguente disuguaglianza:

Questa è l'equazione ellittica con il centro (0|0) e i diametri 2 ⋅ wy/3 e
2 ⋅ wx/3°

I singoli passi della derivazione sono mostrati nella figura seguente:


Bibliografia