410x
005741
11-07-2024

Cargas con grandes excentr. en núcleo

El cálculo de una carga en el núcleo altamente desfavorable según EN 1997-1[1] A 6.6.5 comprueba si se produce una junta abierta más allá del centro de gravedad de la base de cimentación debido a acciones permanentes y la combinación de carga más desfavorable. Se asegura que la excentricidad de la resultante de la presión del suelo no exceda los valores límite admisibles.

Marca 1: La limitación de la primera El ancho del núcleo se representa mediante un rombo.

Marca 2: La limitación del segundo El ancho del núcleo se representa mediante una elipse.

Marca 3: El punto de aplicación de la resultante es el punto en el que toda la carga resultante actúa sobre la base de la cimentación.

Acciones permanentes

En el caso de cimentaciones en suelos no cohesivos y cohesivos, no pueden surgir juntas abiertas en la base de la cimentación como resultado de acciones permanentes características. Esto se asegura colocando la presión del suelo resultante dentro de 1. Anchura del núcleo. Sin embargo, la primera La anchura del núcleo limita la excentricidad biaxial admisible dentro de una superficie rómbica.

La condición a comprobar es la siguiente:

Derivación de la condición
Die Bedingung wird aus der folgenden Ungleichung resultierend aus einer Gradengleichung hergeleitet:

Los valores absolutos son necesarios para que esta desigualdad se aplique a todos los cuadrantes y para que el contorno en forma de rombo se cubra por completo.

Los pasos individuales de la derivación se muestran en la siguiente figura:

Combinación más desfavorable de acciones permanentes y variables

La excentricidad de las resultantes de la presión del suelo bajo acciones características permanentes y variables puede ser, como máximo, tan grande que la base de la cimentación continúe sometida a compresión hasta su centro de gravedad. Esto significa que 2. se debe observar la anchura del núcleo. Está limitado por una elipse.

La condición a comprobar es la siguiente:

Derivación de la condición
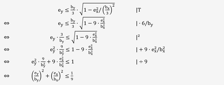
La condición se deriva de la siguiente desigualdad:

Esta es la ecuación elíptica con el centro (0|0) y los diámetros 2 ⋅ wy/3 y
2 ⋅ wx/3ª

Los pasos individuales de la derivación se muestran en la siguiente figura:


Referencias