417x
005741
11. Juli 2024

Fundamentverdrehung

Der Nachweis der Fundamentverdrehung gemäß DIN EN 1997-1 [1] A 6.6.5 überprüft, ob eine klaffende Fuge infolge ständiger Einwirkungen und ungünstigster Lastkombination über den Schwerpunkt der Sohlfläche hinaus auftritt. Dabei wird sichergestellt, dass die Exzentrizität der Sohldruckresultierenden die zulässigen Grenzwerte nicht überschreitet.

Markierung 1 : Die Begrenzung der 1. Kernweite ist durch eine Raute dargestellt.

Markierung 2 : Die Begrenzung der 2. Kernweite ist durch eine Ellipse dargestellt.

Markierung 3 : Der Angriffspunkt der Resultierenden ist der Punkt, an dem die gesamte resultierende Last auf die Fundamentsohle wirkt.

Ständige Einwirkungen

Bei Gründungen auf nichtbindigen und bindigen Böden darf in der Fundamentsohle infolge charakteristischer ständiger Einwirkungen keine klaffende Fuge entstehen. Dies wird sichergestellt, indem die Sohldruckresultierende innerhalb der 1. Kernweite liegt. Die 1. Kernweite begrenzt die zulässige zweiachsige Exzentrizität innerhalb einer rautenförmigen Fläche.

Die zu prüfende Bedingung lautet:

Herleitung der Bedingung
Die Bedingung wird aus der folgenden Ungleichung resultierend aus einer Gradengleichung hergeleitet:

Die Beträge sind notwendig, damit diese Ungleichung für alle Quadranten gilt und die rautenförmige Begrenzung vollständig abgedeckt wird.

Die einzelnen Schritte der Herleitung sind in der folgenden Darstellung zu sehen:

Ungünstigste Kombination aus ständigen und veränderlichen Einwirkungen

Die Exzentrizität der Sohldruckresultierenden bei ständigen und veränderlichen, charakteristischen Einwirkungen darf maximal so groß sein, dass die Fundamentsohle bis zu ihrem Schwerpunkt weiterhin unter Druck steht. Dies bedeutet, dass die 2. Kernweite eingehalten werden muss. Sie wird durch eine Ellipse begrenzt.

Die zu prüfende Bedingung lautet:

Herleitung der Bedingung
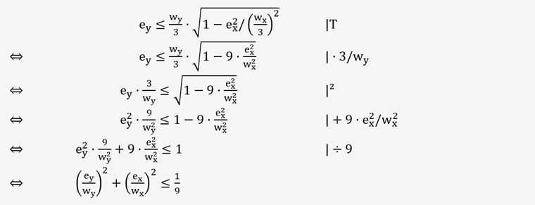
Die Bedingung wird aus der folgenden Ungleichung hergeleitet:

Es handelt sich hierbei um die Ellipsengleichung mit Mittelpunkt (0|0) und den Durchmessern 2 ⋅ wy / 3 und
2 ⋅wx / 3.

Die einzelnen Schritte der Herleitung sind in der folgenden Darstellung zu sehen:


Referenzen