3109x
000123
2023-12-05

防火配置

防火配置 目前可用于以下规范的钢设计:

  • EN 1993
  • NTC
  • GB 50017

这些配置控制一个对象的防火证明应遵循哪些指导原则(“热设计”)。在这里,您可以设定用于防火证明的钢温参数。

信息

设计配置的概念在章节Stahlbemessung中描述。

重要

防火配置的规定适用于分配了此配置的所有杆件和杆集。如果没有为列表Zu bemessende Objekte中的对象分配配置,则不会为该对象进行防火证明。

EN 1993 / NTC

对火灾影响的特殊情况的设计原则上类似于承载能力极限状态的证明。由于钢的最终温度升高,材料参数将相应减少。相应的规定例如在EN 1993-1-2 [1]中找到。

温度的定义

通过列表(参见图Neue Brandschutzkonfiguration),您有两种方法来定义最终温度

  • 分析:根据不同的火曲线,从气体温度确定某一时刻的钢温。
  • 手动:您可以自定义设定钢的最终温度。

分析确定

在类别防火设计设置中输入所需的防火持久时间tfi,erf及温度计算的时间间隔Δt。

可将截面假定为四面或三面受火进行设计。这将影响构件温度的计算和根据[1]的证明系数的确定。对于三面受火,您可以自定义设定受保护侧的宽度或者使用自动计算:这里简单假设一侧对截面的总宽度受到保护并且不受火影响(典型的应用是带有混凝土板的梁)。

如果截面因某些措施而受到火灾保护,请在‘防火’类别中勾选‘设定防火参数’复选框。在‘保护类型’列表中,有两种选择:

  • 轮廓:适应截面几何形状的包覆(例如,抹灰或板材覆盖)
  • 箱形:截面的矩形外部包覆

然后输入覆盖的材料性能和厚度。温度的计算考虑了根据[1] 4.2.5.2的这些参数。根据[1],仅限板材和灰泥作为防火材料。此方案的证明不适用于油漆与保温涂层,因为这些覆盖物根据温度会改变其属性。

在类别用于确定气体温度的温度曲线中设定应使用的温度曲线:

  • 单位温度-时间曲线
  • 外部火曲线
  • 碳氢化物火曲线

在证明细节中,您可以显示Temperatur-Zeit-Diagramm中的温度变化。

用于温度分析的热效应部分中,计算温度使用的系数值根据EN 1993-1-2 [1]和EN 1991-1-2 [2]的推荐值已默认设置。您可以根据需要进行调整。

如果您需要考虑镀锌处理对钢温确定的有利影响,可以通过调整表面辐射率来完成。为此,启用‘碳钢杆的镀锌表面’复选框。在确定钢温时,将考虑到镀锌表面的较低辐射率εm,lim,直到设定的临界温度tlim。在更高温度时,将使用碳钢的表面辐射率εm。此过程符合DASt指导方针027 火灾情况下镀锌钢构件的温度确定的规定,其值已预设。

手动定义

如果您想直接设定钢温,请在列表中选择手动选项(参见图Neue Brandschutzkonfiguration)。然后输入进行防火证明的材料最终温度Θa

对于不均匀的温度分布在弯曲证明中,即使手动定义温度,根据[1] 4.3.3所需的k1系数仍需提供关于火曝光(全部或三侧,可能的防火措施)的信息。在所有情况下,k2系数代表沿着梁长的不均匀温度分布始终保守地取1.0。

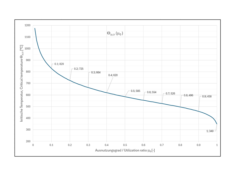
临界温度

除防火证明外,程序还提供确定截面证明的临界温度。此值表示应力最大可以达到的温度,以确保杆件或杆件集仍可承载作用。为此,启用‘计算临界温度根据EN 1993-1-2, 4.2.4(2)’复选框。

提示

临界构件温度的确定在技术文章Brandbemessung im Stahlbau中通过实例进行了描述。

计算后,临界温度Θa,cr为每个证明在Nachweisdetails中给出。对于稳定性证明,此选项如提到的不可用。

防火证明说明

承载能力证明的基本设置(例如弹性或塑性证明)、稳定性证明(例如载荷作用点)也按照对象的Tragfähigkeitskonfigurationen用于防火证明。对于特殊情况的极限值,防火证明中也适用在那里设定的限制值。

重要

防火证明中考虑了‘承载能力配置’的规定。如果对象没有分配承载能力配置,则无论是否分配了防火配置,该对象都不会进行防火证明。

防火证明适用于分配给钢设计输入表Bemessungssituationen的情况下的所有设计情况,类型为‘AGE’ ’'GZT (STR/GEO) - 特殊 - 火’。

由于一般方法用于稳定性证明根据EN 1993-1-1 [2] 6.3.4不适用于防火证明,稳定性证明根据EN 1993-1-2 [1] 4.2.3使用‘替代杆方法’进行。其中分配的Knicklängen也用于防火证明。没有进行E-模量的显式减少:减少通过[1]的减少因子在稳定性证明中考虑。

重要

对于根据II. 阶理论的证明,必须在结构计算而材质参数中考虑E-模量的减少。为此,使用具有‘温度相关特性’的材料(参见RFEM手册的章节Materialien)。

您可以以温度载荷形式预设钢温用于计算(参见RFEM手册的章节Stablasten)。

局部屈曲细长截面也可能在火灾情况下成为决定性失效形式。对4类截面的证明在插件钢设计中根据[1] 附录 E进行。对薄壁腹板的剪切屈曲证明目前在防火证明中尚未实施。

GB 50017

信息

说明正在处理中。


参考
上级章节

网络研讨会

知识库