3718x
000123
2023-12-05

Fire Resistance Configurations

Fire Protection Configurations are currently available for steel design according to the following standards:

  • EN 1993
  • NTC
  • GB 50017

These configurations control the specifications according to which the fire resistance design of a building is carried out (“fire resistance design”). Here you can define the parameters for determining the steel temperature that is used for the fire resistance design.

Info

The concept of design configurations is described in the chapter Steel Design.

Important

The specifications of a fire protection configuration apply to all members and member sets to which this configuration is assigned. If an object from the list Objects to be Designed is not assigned a configuration, no fire protection verifications will be conducted for this object.

EN 1993 / NTC

The design for the accidental situation of fire exposure is carried out basically in the same way as the ultimate limit state design. However, due to the increased final steel temperature, the material parameters are reduced accordingly. The corresponding regulations can be found in EN 1993-1-2 [[#Refer [1]]], for example.

Definition of Temperature

Using the list (see the image New Fire Resistance Configuration), you have two options for defining the end temperature:

  • Analytically: The steel temperature at a certain point in time is determined based on the gas temperature according to various fire curves.
  • Manually: You can define the steel end temperature as user-defined.

Analytical Determination

In the Fire design settings category, enter the required duration of the fire resistance tfi,req and the time interval Δt for the calculation of the temperature.

A cross-section can be assumed to be exposed to fire on all or three sides for the design. This affects the calculation of the component temperature and the determination of design coefficients according to [1]. For a three-sided fire exposure, you can define the width of the protected side in a user-defined way or use the automatic calculation: For the sake of simplicity, it is assumed that one side is protected over the entire width of the cross-section and is not exposed to fire (typical use case for a beam with an overlying concrete cover).

If the cross-section is protected against the effects of fire by certain precautions, select the “Set fire protection parameters” check box in the “Fire protection” category.

Two options are then available for selection in the list for the “Protection type”:

  • Contour encasement: Encasement of constant thickness adapted to the cross-section geometry (for example, plaster or panel coating)
  • Hollow encasement: Rectangular external encasement of the cross-section

Specify the material properties and the thickness of the coating. The temperature is determined taking these parameters into account according to [1] 4.2.5.2. According to [1], only board materials and plaster can be used as fire protection materials. A design with this scheme is not allowable for coatings with an insulating effect or intumescent coatings, as these coatings change their properties depending on the temperature.

In the “Temperature curve for determination of temperature of gases” category, specify which temperature curve is to be used:

  • Unit temperature-time curve
  • External fire curve
  • Hydrocarbon fire curve

In the design check details, you can display the temperature distribution in the Temperature-Time Diagram.

In the Termal actions for temperature analysis section, the coefficients used for the calculation of the temperature are preset according to the recommended values in EN 1993-1-2 [[#Refer [1]]] and EN 1991-1-2 [[#Refer [2]]]. You can adjust them, if necessary.

You can take into account the favourable effect of hot-dip galvanizing when determining the steel temperature by adjusting the surface emissivity. To do this, activate the “Galvanized surface of carbon steel member” check box. When determining the steel temperature, the lower emissivity of the galvanized surface εm,lim is taken into account up to the set limit temperature tlim. At higher temperatures, the surface emissivity of the carbon steel εm is then applied. This procedure corresponds to the specifications of DASt Guideline 027 ‘'Determination of Component Temperature of Hot-Dip Galvanized Steel Components Under Fire’', the values of which are preset.

Manual Definition

If you want to specify the steel temperature directly, select the Manually option in the list (see the image New Fire Resistance Configuration). Then, enter the material end temperature Θa for which the fire resistance design is to be performed.

To determine the coefficient k1 according to [1], 4.3.3 for uneven temperature distribution in the bending check, it is necessary to specify the fire exposure (all-round or 3-sided, if necessary with fire protection measures). The coefficient k2 for an uneven temperature distribution along the length of the beam is assumed to be 1.0 for all cases.

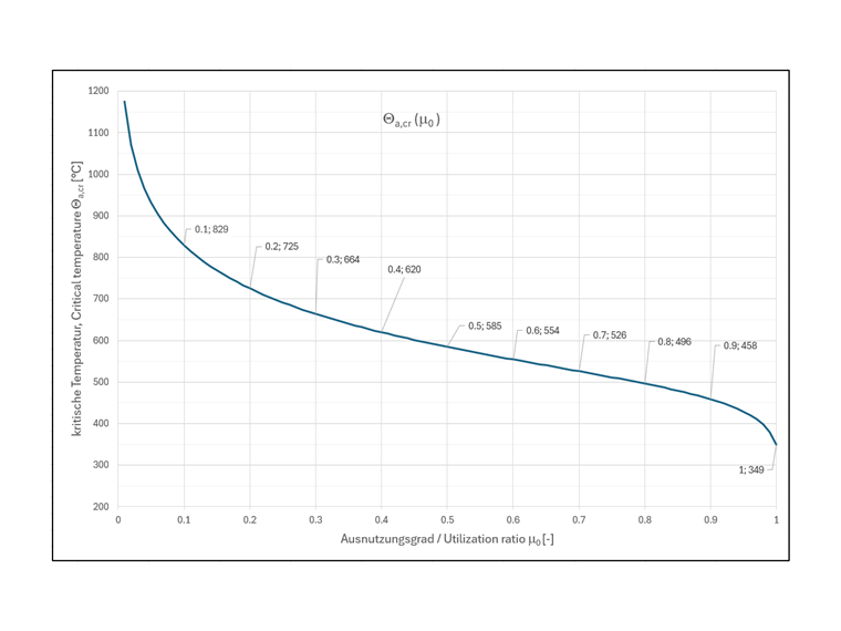
Critical Temperature

In addition to the pure fire resistance design, the program also provides the option of determining the critical temperature for the cross-section checks. This value represents the maximum temperature that may be reached so that the member or member set can still withstand the actions. To do this, select the Calculate critical temperature acc. to EN 1993-1-2, 4.2.4(2) check box.

Tip

Determining the critical component temperature is described in the technical article Fire Resistance Design of Steel Structures, using an example.

After the calculation, the critical temperature Θa,cr is displayed for each design in the Design Check Details. This option is not available for stability analysis.

Notes on Fire Resistance Design

The basic settings of the ultimate limit state design (for example, elastic or plastic design) or the stability design (for example, load application point) are also adopted for the fire resistance design checks from the ultimate configurations of the object. The design ratio limits for ignoring internal forces and stresses defined there also apply to the fire resistance design.

Important

For the fire resistance design checks, the specifications from the ultimate configuration are taken into account. If there is no ultimate configuration is assigned to an object, no fire resistance design is carried out for this object, regardless of whether a fire resistance configuration is assigned or not.

The fire resistance design checks are performed for all design situations with the ACC "ULS (STR/GEO) – Accidental – Fire" type assigned in the Design Situations input table for the steel design.

As the general method for stability analyses according to EN 1993-1-1 [[#Refer [2]]] 6.3.4 is not applicable for fire resistance design checks, the stability analyses are performed using the equivalent member method according to EN 1993-1-2 [[#Refer [1]]] 4.2.3. The assigned effective lengths are also used for the fire resistance design. There is no explicit reduction of the modulus of elasticity: The reduction is taken into account in the stability analyses via the reduction factors according to [1].

Important

For design checks according to the second-order analysis, it is necessary to consider the reduction of the modulus of elasticity in the material parameters when performing a structural analysis. For this, use a material with temperature-dependent properties (see the chapter Materials of the RFEM manual).

You can specify the steel temperature in the form of temperature loads for the calculation (see the chapter Member loads of the RFEM manual).

Local buckling of slender cross-section parts can also represent a governing failure mode in case of fire. Design checks for the cross-sections of Class 4 are performed in the Steel Design add-on according to [1], Appendix E. The shear buckling design of slender web plates is currently not implemented for the fire resistance design in the add-on.

GB 50017

Info

The description is in progress.


References
Parent Chapter