3389x
000123
2023-12-05

Configurações de proteção contra incêndio

Configurações de protecção contra incêndio estão atualmente disponíveis para o dimensionamento de aço segundo as seguintes normas:

  • EN 1993
  • NTC
  • GB 50017

Estas configurações determinam as diretrizes para a realização das verificações de protecção contra incêndio de um objeto ("dimensionamento em situação de incêndio"). Aqui, você pode definir os parâmetros para a determinação da temperatura do aço que será utilizada na verificação de protecção contra incêndio.

Informação

O conceito de configurações de dimensionamento é descrito no capítulo Dimensionamento de aço.

Importante

As diretrizes de uma configuração de protecção contra incêndio aplicam-se a todas as barras e conjuntos de barras aos quais esta configuração está atribuída. Se um objeto da lista Objetos a serem dimensionados não tiver uma configuração atribuída, não serão realizadas verificações de protecção contra incêndio para esse objeto.

EN 1993 / NTC

O dimensionamento para a situação excepcional de um incêndio é realizado em princípio como a verificação para o estado limite último de resistência. Devido à temperatura final do aço aumentada, as características do material são reduzidas adequadamente. As regulamentações correspondentes podem ser encontradas, por exemplo, na EN 1993-1-2 [1].

Definição da Temperatura

Através da lista (ver imagem Nova Configuração de Proteção Contra Incêndio) você tem duas possibilidades para definir a temperatura final:

  • Analítico: A temperatura do aço em um determinado momento é determinada a partir da temperatura dos gases de acordo com diferentes curvas de incêndio.
  • Manual: Você pode definir a temperatura final do aço de forma personalizada.

Determinação Analítica

Na categoria Configurações para dimensionamento em incêndio, insira a duração necessária de protecção contra incêndio tfi,erf e o intervalo de tempo Δt para o cálculo da temperatura.

Uma seção transversal pode ser assumida como exposta a incêndio por todos os lados ou por três lados para dimensionamento. Isso afeta o cálculo da temperatura do componente e a determinação dos coeficientes de verificação de acordo com [1]. No caso de exposição a incêndios em três lados, você pode definir a largura do lado protegido de forma personalizada ou utilizar a determinação automática: presume-se simplificadamente que um lado é protegido na largura total da seção transversal e não é exposto ao incêndio (caso típico para uma viga com uma laje de concreto sobreposta).

Se a seção transversal estiver protegida contra a ação do incêndio por determinadas medidas, marque a caixa de seleção 'Definir parâmetros de protecção contra incêndio' na categoria Proteção contra Incêndio.

Na lista para o 'Tipo de Proteção', estão disponíveis duas opções:

  • Revestimento que segue o perfil: revestimento ajustado ao contorno da seção com espessura constante (por exemplo, revestimento de gesso ou painéis)
  • Revestimento em caixa: revestimento exterior retangular da seção transversal

Informe as propriedades do material e a espessura do revestimento. A determinação da temperatura é realizada considerando esses parâmetros de acordo com [1] 4.2.5.2. Como materiais de protecção contra incêndio, apenas materiais em placas e gessos podem ser utilizados de acordo com [1. Uma verificação com este esquema não é permitida para revestimentos de pintura com efeito isolante ou intumescente, pois esses revestimentos mudam suas propriedades dependendo da temperatura.

Na categoria Curva de temperatura para determinação da temperatura dos gases, defina qual curva de temperatura será utilizada:

  • Curva Tempo-Temperatura Padrão
  • Curva de incêndio exterior
  • Curva de incêndio de hidrocarbonetos

Nos detalhes da verificação, você pode exibir o andamento da temperatura no Diagrama de Tempo-Temperatura.

Na seção Ações térmicas para análise de temperatura, os coeficientes utilizados para o cálculo da temperatura estão predefinidos de acordo com os valores recomendados pela EN 1993-1-2 [1] e EN 1991-1-2 [2]. Você pode ajustá-los conforme necessário.

O efeito benéfico da galvanização a quente na determinação da temperatura do aço pode ser considerado através de um ajuste da emissividade superficial. Para isso, ative a caixa de seleção 'Superfície galvanizada da barra de aço carbono'. Na determinação da temperatura do aço, a menor emissividade da superfície galvanizada εm,lim é considerada até a temperatura limite ajustada tlim. Em temperaturas mais altas, é considerada a emissividade superficial do aço carbono εm. Este procedimento corresponde às especificações da Diretiva DASt 027 Determinação da temperatura de componentes de aço galvanizados a quente em situação de incêndio, cujos valores estão predefinidos.

Definição Manual

Se você desejar definir diretamente a temperatura do aço, escolha a opção Manual na lista (ver imagem Nova Configuração de Proteção Contra Incêndio). Em seguida, insira a temperatura final do material Θa para a qual será realizada a verificação de protecção contra incêndio.

Para a determinação do coeficiente k1 de acordo com [1] 4.3.3, para distribuição de temperatura não uniforme na verificação por flexão, mesmo na definição manual da temperatura, é necessário indicar a exposição ao incêndio (por todos os lados ou por três lados, eventualmente com medidas de proteção contra incêndio). O coeficiente k2 para distribuição de temperatura não uniforme ao longo do comprimento da viga é sempre assumido como 1,0 para estar do lado seguro.

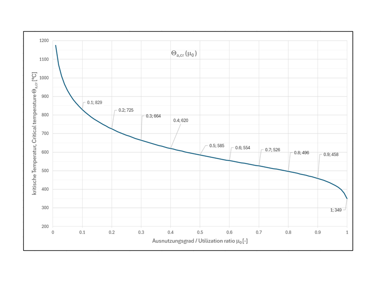
Temperatura Crítica

Além da verificação de protecção contra incêndio, o programa oferece a possibilidade de determinar a temperatura crítica para as verificações de seção. Este valor representa a temperatura máxima que pode ser atingida para que a barra ou conjunto de barras ainda suporte as ações. Para isso, marque a caixa de seleção Calcular temperatura crítica de acordo com EN 1993-1-2, 4.2.4(2).

Sugestão

A determinação da temperatura crítica do componente é descrita no artigo técnico Dimensionamento em Incêndio em Estruturas de Aço com um exemplo.

Após o cálculo, a temperatura crítica Θa,cr é fornecida para cada verificação nos Detalhes da verificação. Para verificações de estabilidade, esta possibilidade não está disponível.

Dicas para a verificação de protecção contra incêndio

As configurações básicas para verificações de resistência (por exemplo, verificação elástica ou plástica) ou para verificações de estabilidade (por exemplo, ponto de aplicação da carga) também são adotadas para as verificações de protecção contra incêndio das Configurações de resistência do objeto. As margens de utilização definidas para ignorar esforços internos e tensões também se aplicam à verificação de protecção contra incêndio.

Importante

Nas verificações de protecção contra incêndio, são considerados os requisitos para a configuração de resistência. Se um objeto não tiver uma configuração de resistência atribuída, não será realizada uma verificação de protecção contra incêndio - independentemente de uma configuração de protecção contra incêndio estar atribuída.

As verificações de protecção contra incêndio são realizadas para todas as situações de dimensionamento às quais é atribuído o tipo ACE' 'ELU (STR/GEO) - Excepcional - Incêndio' na tabela de entrada das Situações de Dimensionamento para o dimensionamento de aço.

Uma vez que o procedimento geral para verificações de estabilidade de acordo com a EN 1993-1-1 [2] 6.3.4 não é aplicável para verificações de protecção contra incêndio pelas normas, as verificações de estabilidade são realizadas com o método da haste substituta de acordo com a EN 1993-1-2 [1] 4.2.3. As Comprimentos de empenamento atribuídas também são utilizadas para a verificação de protecção contra incêndio. Não ocorre uma redução explícita do módulo de elasticidade: a redução é considerada nas verificações de estabilidade através dos fatores de redução de acordo com [1].

Importante

Para verificações de segunda ordem, a redução do módulo de elasticidade deve ser considerada no cálculo estrutural nos parâmetros do material. Utilize um material com propriedades dependentes da temperatura (veja o capítulo Materiais do manual do RFEM).

A temperatura do aço pode ser definida na forma de cargas térmicas para o cálculo (veja o capítulo Cargas de barra do manual do RFEM).

A flambagem local de seções delgadas também pode ser uma forma crítica de falha em caso de incêndio. As verificações para seções de classe 4 são realizadas no Add-On Dimensionamento de Aço de acordo com o [1] Anexo E. A verificação contra flambagem por cisalhamento de almas delgadas não está atualmente implementada nas verificações de protecção contra incêndio.

GB 50017

Informação

A descrição está em desenvolvimento.


Referências
Capítulo principal