3648x
000123
5.12.2023

Konfigurace požární odolnosti

Konfigurace požární odolnosti jsou v současné době k dispozici pro posouzení ocelových konstrukcí podle následujících norem:

  • EN 1993
  • NTC
  • GB 50017

Tyto konfigurace určují, podle jakých požadavků se provádí posouzení požární odolnosti objektu („posouzení při požáru“). Zde můžete nastavit parametry pro stanovení teploty oceli, která se používá pro posouzení požární odolnosti.

Informace

Koncepce konfigurací pro posouzení je popsána v kapitole Posouzení ocelových konstrukcí.

Důležité

Zadání konfigurace požární odolnosti platí pro všechny pruty a sady prutů, kterým je tato konfigurace přiřazena. Pokud není objektu ze seznamu Objekty pro posouzení přiřazena žádná konfigurace, neprovádějí se pro tento objekt žádná posouzení požární odolnosti.

EN 1993 / NTC

Posouzení pro mimořádnou situaci v důsledku působení požáru se v zásadě provádí stejně jako posouzení mezního stavu únosnosti. Vzhledem ke zvýšené konečné teplotě oceli se však odpovídající materiálové charakteristiky adekvátně sníží. Příslušná ustanovení lze nalézt například v normě EN 1993-1-2 [1].

Zadání teploty

Seznam (viz obrázek Nová kKonfigurace požární odolnosti) nabízí dvě možnosti, jak můžete Zadat konečnou teplotu:

  • Analyticky: Teplota oceli v určitém časovém okamžiku se vypočítá na základě teploty plynu podle různých požárních křivek.
  • Ručně: Konečnou teplotu oceli můžete nastavit prostřednictvím uživatelského zadání.

Analytické stanovení

V kategorii Nastavení pro posouzení požární odolnosti zadejte požadovanou dobu požární odolnosti tfi,erf a časový interval Δt pro výpočet teploty.

U průřezu lze při výpočtu předpokládat, že bude vystaven požáru ze všech stran nebo ze tří stran. To má vliv na výpočet teploty konstrukčního prvku a stanovení součinitelů posouzení podle [1]. V případě vystavení účinkům požáru ze tří stran můžete šířku chráněné strany nastavit prostřednictvím uživatelského zadání nebo využít automatické stanovení: Pro zjednodušení se přitom předpokládá, že jedna strana je chráněna po celé šířce průřezu a není vystavena účinkům požáru (typickým případem použití je nosník s betonovou stěnou).

Pokud je průřez chráněn před účinky požáru pomocí určitých opatření, zaškrtněte v kategorii Požární odolnost políčko „Nastavit parametry ochrany proti požáru“.

V seznamu pro „Typ ochrany“ jsou k dispozici dvě možnosti:

  • Uzavření kontury: zakrytí s konstantní tloušťkou přizpůsobené kontuře průřezu (například omítka či desky)
  • Duté uzavření: obdélníkový vnější zakrytí průřezu

Zadejte materiálové charakteristiky a tloušťku nátěru či obkladu. Stanovení teploty se provádí s ohledem na tyto parametry podle [1] 4.2.5.2. Jako protipožární materiály přicházejí podle [1] v úvahu výhradně deskové materiály a omítky. Posouzení dle tohoto schématu není dovoleno pro nátěry s izolačním účinkem nebo izolační vrstvy, protože vlastnosti těchto nátěrů se mění v závislosti na teplotě.

V kategorii Teplotní křivka pro stanovení teploty plynů zadejte, jaká teplotní křivka má být použita:

  • Jednotková teplotní křivka v závislosti na čase
  • Křivka vnějšího požáru
  • Uhlovodíková křivka požáru

V detailech posouzení můžete zobrazit průběh teploty v Diagramu teplota-čas.

V části Tepelné účinky pro analýzu teploty jsou přednastaveny součinitelé používané pro výpočet teploty v souladu s doporučenými hodnotami podle norem EN 1993-1-2 [1] a EN 1991-1-2 [2. V případě potřeby je můžete upravit.

Příznivý vliv žárového zinkování při stanovení teploty oceli můžete zohlednit úpravou povrchové emisivity. K tomu zaškrtněte políčko „Galvanizovaný povrch prutu z uhlíkové oceli“. Při výpočtu teploty oceli se zohledňuje nižší emisivita zinkovaného povrchu εm,lim až do nastavené mezní teploty tlim. Při vyšších teplotách se pak použije emisivita povrchu uhlíkové oceli εm. Tento postup odpovídá požadavkům směrnice DASt 027 „Stanovení teploty žárově zinkovaných konstrukčních ocelových prvků v případě požáru“, jejíž hodnoty jsou přednastaveny.

Ruční zadání

Pokud chcete zadat teplotu oceli přímo, vyberte v seznamu (viz obrázek Nová konfigurace požární odolnosti) možnost Ručně. Poté zadejte konečnou teplotu materiálu Θa , pro kterou má být provedeno posouzení požární odolnosti.

Pro stanovení součinitele k1 podle [1] 4.3.3 je v případě nerovnoměrného rozdělení teploty při posouzení na ohyb i v případě ručního zadání teploty nutné uvést údaje o vystavení účinkům požáru (ze všech stran nebo ze tří stran, případně s protipožárními opatřeními). Součinitel k2 pro nerovnoměrné rozdělení teploty podél délky nosníku se ve všech případech z důvodu jistoty předpokládá jako 1,0.

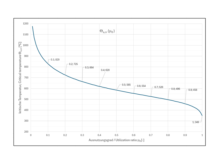
Kritická teplota

Kromě samotného posouzení požární odolnosti nabízí program také možnost stanovit kritickou teplotu pro posouzení průřezu. Tato hodnota představuje maximální teplotu, které smí být dosaženo, aby prut nebo sada prutů odolala působícím silám. Za tímto účelem zaškrtněte políčko Spočítat kritickou teplotu podle EN 1993-1-2, 4.2.4(2).

Tip

Stanovení teploty konstrukčního prvku je na příkladu popsáno v odborném článku Posouzení ocelových konstrukcí na účinky požáru.

Po výpočtu se kritická teplota Θa,cr zobrazí pro každý výpočet v detailech posouzení. Jak již bylo zmíněno, pro posouzení stability tato možnost není k dispozici.

Poznámky k posouzení požární odolnosti

Základní nastavení pro posouzení mezního stavu únosnosti (například pružné nebo plastické posouzení) nebo pro posouzení stability (například místo působení zatížení) se přebírají z konfigurací mezního stavu únosnosti objektu i pro posouzení požární odolnosti. Meze využití definované v těchto konfiguracích pro zanedbání vnitřních sil a napětí platí také pro posouzení požární odolnosti.

Důležité

Při posouzení požární odolnosti se zohledňují údaje pro konfiguraci mezního stavu únosnosti. Pokud objektu není přiřazena žádná konfigurace mezního stavu únosnosti, neprovádí se pro tento objekt ani posouzení požární odolnosti – bez ohledu na to, zda je přiřazena konfigurace požární odolnosti.

Posouzení požární odolnosti se provádí pro všechny návrhové situace, kterým je ve vstupní tabulce Návrhové situace pro posouzení ocelových konstrukcí přiřazen typ ACC „MSÚ (STR/GEO) – Mimořádné – Požár“.

Jelikož obecná metoda pro posouzení stability podle EN 1993-1-1 [2] 6.3.4 není podle normy použitelná pro posouzení požární odolnosti, provádějí se posouzení stability pomocí metody náhradního prutu podle EN 1993-1-2 [1] 4.2.3. Přiřazené vzpěrné délky se přitom používají i pro posouzení požární odolnosti. Nedochází k explicitnímu snížení modulu pružnosti: snížení je zohledněno v posouzení stability pomocí redukčních součinitelů podle [1].

Důležité

Pro posouzení podle teorie druhého řádu je třeba při výpočtu konstrukce zohlednit snížení modulu pružnosti v parametrech materiálu. K tomu použijte materiál s vlastnostmi závislými na teplotě (viz kapitola Materiály) manuálu RFEM.

Teplotu oceli můžete pro výpočet zadat ve formě zatížení teplotou (viz kapitola Zatížení na pruty manuálu RFEM).

Lokální boulení částí průřezu štíhlých částí průřezu může představovat rozhodující formu selhání i v případě požáru. Posouzení pro průřezy třídy 4 se provádějí v addonu Posouzení ocelových konstrukcí podle [1] přílohy E. Posouzení proti smykovému boulení tenkých plechů stojin není v současnosti v posouzení požární odolnosti implementováno.

GB 50017

Informace

Popis se připravuje.


Reference
Nadřazená kapitola