6648x
003505
2021-06-24

Rayleigh Damping

In the RF-/DYNAM Pro, there is the Rayleigh damping. How do I determine these coefficients, and how are they used?


Answer:

For some solving methods, the Rayleigh coefficients are absolutely necessary. Since the Lehr's damping values are only given in the literature, it is necessary to convert them.

The following formula is used for converting the Lehr's damping values into the Rayleigh coefficients:

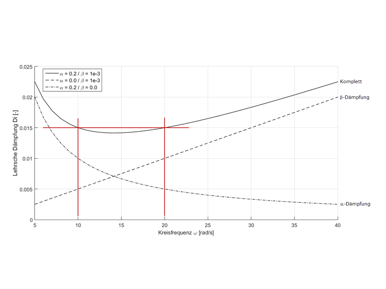
Where α and β are the Rayleigh coefficients. It is necessary to set up a system of equations that always contains the angular frequencies of the two most dominant mode shapes. For both of these mode shapes, the structure will then be damped with the specified Lehr's damping value. All other mode shapes of the structure will have different damping values. These result from the curve displayed in Image 01. The curve shows an example of two angular frequencies of 10 and 20 rad/s and Lehr's damping of 0.015.

It is also possible to use the "Calculate from Lehr's Damping…" button to activate the corresponding conversion tool.


Author

Ms. Effler is responsible for the development of products for dynamic analysis and provides technical support for our customers.

References
Downloads


;