7290x
000604
2021-02-26

Manual Adjustment of Buckling Curve According to EN 1993-1-1

The RF‑/STEEL EC3 add-on module automatically transfers the buckling line to be used for the flexural buckling analysis for a cross-section from the cross-section properties. The assignment of the buckling line can be adjusted manually in the module input for general cross-sections in particular, as well as for special cases.

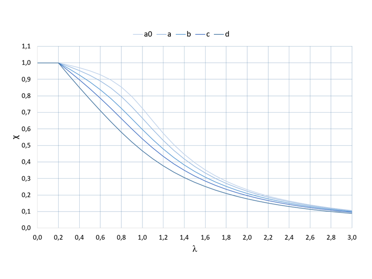
Flexural Buckling Curves According to EN 1993-1-1, Table 6.2

The buckling lines in the standard indicate the reduction factor χ to be used, depending on the related slenderness ratio λ ̅. This reduction of the load-bearing capacity takes into account the influence of the geometric and structural imperfections on the component stiffness. These are included in the calculation formula of the reduction factor via imperfection factor α.

The most favorable buckling line a0 represents the least influence of the imperfections and thus provides a higher flexural buckling resistance with the same slenderness. The most unfavorable buckling curve with the largest imperfection factor is buckling curve d.

Imperfection Coefficients According to EN 1993-1-1, Table 6.1
Buckling Curvea0abcd
Imperfection Factor α0.130.210.340.490.76

Manual Adjustment in RF-/STEEL EC3

In the input window of the cross-sections, the cross-section details are displayed again in the add-on module. For each cross-section, you can select the buckling curve differently from the database value in the detail settings.


Links


;