285x
005741
2024-07-11

Highly Eccentric Loads in Core

The design of highly eccentric loading in the core according to EN 1997-1 [1], A 6.6.5 checks whether a gaping joint occurs beyond the centroid of the foundation base due to permanent actions and the most unfavorable load combination. This ensures that the eccentricity of the soil pressure resultant does not exceed the allowable limit values.

Mark 1: The limitation of the first core width is represented by a rhombus.

Mark 2: The limitation of the second core width is represented by an ellipse.

Mark 3: The resultant's point of application is the point at which the entire resulting load acts on the foundation base.

Permanent Actions

In the case of foundations on non-cohesive and cohesive soils, no gaping joint may arise in the foundation base as a result of characteristic permanent actions. This is ensured by placing the soil pressure resultant within the first core width. However, the first core width limits the allowable biaxial eccentricity within a rhombic surface.

The condition to be checked is the following:

Derivation of Condition
The condition is derived from the following inequality, resulting from a degree equation:

The absolute values are necessary for this inequality to apply to all quadrants and for the rhombic condition to be completely covered.

The individual steps of the derivation are shown in the following image:

Most Unfavorable Combination of Permanent and Variable Actions

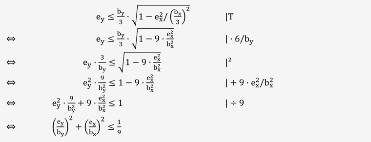
The eccentricity of the soil pressure resultant under permanent and variable, characteristic actions must not exceed a maximum value such that the foundation base remains under compression up to its center of gravity. This means that it is necessary to observe the second core width. It is limited by an ellipse.

The condition to be checked is the following:

Derivation of Condition
The condition is derived from the following inequality:

This is the elliptical equation with the center (0|0) and the diameters 2 ⋅ wy/3 and
2 ⋅wx / 3.

The individual steps of the derivation are shown in the following image:


References