Das Register Dämpfung bietet verschiedene Einstellmöglichkeiten, um eine viskose Strukturdämpfung bei der Analyse mit dem linearen Zeitverlaufsverfahren zu berücksichtigen.
Dämpfung
Wurde im Register Basis die lineare implizite Newmark-Analyse vorgegeben, so steht nur die 'Dämpfungsart' Rayleigh zur Verfügung. Beim linear modalen Analyseverfahren hingegen bietet die Liste zwei Auswahlmöglichkeiten:
- Lehrsche Dämpfung | Konstant
- Rayleigh
Wenn Sie bei einer linear modalen Analyse die Rayleigh-Dämpfung ansetzen, werden die Rayleigh-Dämpfungskoeffizienten α und β in Lehrsche Dämpfungswerte Di konvertiert (siehe Abschnitt Parameter). Die Lösung ist dann eindeutig.
Bei der Rayleigh-Dämpfung ist es möglich, die Dämpfungsparameter automatisch aus der Lehrschen Dämpfung zu ermitteln. Haken Sie hierzu das Kontrollfeld 'Berechnung aus Lehrscher Dämpfung' an. Geben Sie dann die Parameter der zwei dominantesten Eigenformen für die 'Eigenfrequenzen' f1 und f2 des Modells mit den zugehörigen Werten für die 'Lehrschen Dämpfung' D1 und D2 an.
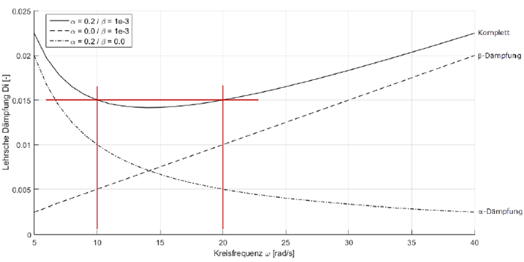
Im unteren Abschnitt wird bei der Rayleigh-Dämpfung das 'Eigenfrequenzen - Dämpfungsdiagramm' angezeigt. Es stellt dar, welches Verhältnis jeweils zwischen Eigenkreisfrequenz und Lehrschen Dämpfungskonstante vorliegt.
Parameter
In diesem Abschnitt können Sie die Parameter der Dämpfung festlegen. Sie unterscheiden sich je nach Dämpfungsart.
Lehrsche Dämpfung
Die Lehrsche Dämpfung wird über die 'Lehrsche Dämpfungskonstante' D definiert. Sie ist für jede einzelne Form i als Faktor zwischen der bestehenden und der kritischen Dämpfung wie folgt definiert:
|
ci |
Einträge in der diagonalen Dämpfungsmatrix |
|
mi |
Modalmassen |
|
ωi |
Kreisfrequenzen des Systems |
Die Dämpfungsmatrix C muss eine Diagonalmatrix sein.
Rayleigh
Die Dämpfungsmatrix der Rayleigh-Dämpfung wird über die beiden Dämpfungsparameter α und β wie folgt definiert:
Die Dämpfungsmatrix C muss für die direkten Zeitverlaufsverfahren nicht zwingend eine Diagonalmatrix sein. Weitere Informationen zur Rayleigh-Dämpfung finden Sie beispielsweise in [1].
Zwischen den Rayleigh-Koeffizienten und der Lehrsche Dämpfung besteht folgende Beziehung:
Diese Gleichung ist in folgender Grafik dargestellt. Dabei werden verschiedene Konstellationen für die Dämpfungsparameter α = 0.2 und β = 0.001 betrachtet.
Für jedes Paar von Rayleigh-Koeffizienten ergeben sich unterschiedliche Lehrsche Dämpfungswerte. Sie sind abhängig von der Kreisfrequenz.